Comenzaron las Novenas en el CFC: Un espacio de unión, tradición y alegría
Manizales, diciembre 01 de 2025.
Con gran entusiasmo y participación comenzó en el Centro de Formación Cafetera la tradicional celebración de las Novenas de Aguinaldos, un espacio que reúne a aprendices, instructores y colaboradores alrededor de la fe, la cultura y las tradiciones navideñas que caracterizan esta época del año.
La actividad, liderada por el área de Cultura y Bienestar al Aprendiz, busca fortalecer los lazos comunitarios, promover la integración y brindar momentos de alegría en medio de las dinámicas formativas. Cada día, los aprendices se encargarán de la lectura de la novena, la interpretación de villancicos y la preparación de refrigerios, generando así un ambiente festivo y colaborativo. Las novenas se llevarán a cabo hasta el 12 de diciembre con diferentes grupos de aprendices del Centro, donde se espera la participación masiva de los grupos de formación.
Desde el CFC se invita a toda la comunidad educativa a unirse a este momento especial para celebrar el espíritu navideño con respeto, alegría y unidad. “Estas celebraciones son una oportunidad para que nuestros aprendices vivan la experiencia de compartir, trabajar en equipo y mantener vivas las tradiciones que nos unen como comunidad”, destacó el equipo de Bienestar durante el encuentro.
Con estas actividades, el Centro de Formación Cafetera ratifica su compromiso de ofrecer experiencias integrales que fortalezcan no solo las competencias técnicas de los aprendices, sino también su bienestar emocional, cultural y social.
Más de 30 aprendices fueron reconocidos en La Noche de los Mejores del SENA
Con gran emoción y orgullo se llevó a cabo La Noche de los Mejores, un evento en el que más de 30 aprendices del SENA fueron exaltados por sus valores, compromiso y desempeño destacado en diferentes áreas de formación. La ceremonia, realizada en el Hotel Carretero de Manizales, fue un espacio lleno de inspiración, gratitud y celebración.
Los aprendices recibieron reconocimientos en categorías como valores SENA, liderazgo, cultura, deporte, gestión socioemocional y excelencia en su proceso formativo, destacando el esfuerzo y dedicación que han demostrado a lo largo del año. Los reconocimientos fueron entregados por el subdirector Carlos Ospina y su equipo directivo: Paula Juliana Bernal, coordinadora de Formación; Yenny Granada, coordinadora Académica; y Rodrigo Giraldo, dinamizador de Bienestar, quienes exaltaron el compromiso de los aprendices y los invitaron a seguir creciendo, soñando y transformando sus vidas a través de la educación.
El evento contó además con el acompañamiento de los profesionales del área de Bienestar al Aprendiz, quienes, junto con los instructores y coordinadores, celebraron los logros de cada estudiante en una noche que reafirmó el talento, la disciplina y el espíritu que caracteriza a nuestra comunidad SENA. Fue, sin duda, una jornada memorable que dejó en todos los asistentes un mensaje claro: cuando hay dedicación, pasión y esfuerzo, los resultados siempre llegan.
Reunión informativa y de seguimiento aprendices beneficiarios de apoyos de sostenimiento regular.
- Fecha: viernes 22 de noviembre
- Hora: 2:00 p.m.
- Link de conexión
Es muy importante que se conecten puntuales para no perder ningún detalle. ¡Los esperamos!
Centro para la Formación Cafetera celebró Halloween con actividades recreativas para sus aprendices
Con alegría, creatividad y espíritu de comunidad, el Centro para la Formación Cafetera del SENA, celebró Halloween en una jornada organizada el área de cultura de la Oficina de Bienestar al Aprendiz, que buscó fortalecer la integración y el sentido de pertenencia entre los aprendices.
Durante la actividad, los asistentes disfrutaron de rifas, concursos, presentaciones y un refrigerio especial, además de compartir un espacio recreativo lleno de color, disfraces y diversión.
El evento se convirtió en una oportunidad para resaltar la importancia del bienestar y la convivencia dentro de la formación integral, promoviendo espacios que favorecen la salud mental, la creatividad y el trabajo en equipo.
La Oficina de Bienestar reafirma con este tipo de actividades su compromiso de acompañar a los aprendices no solo en su desarrollo académico y laboral, sino también en su crecimiento personal y emocional, brindándoles experiencias significativas dentro de su proceso de formación.
Centro para la Formación Cafetera celebró Halloween con actividades recreativas para sus aprendices
Con alegría, creatividad y espíritu de comunidad, el Centro para la Formación Cafetera del SENA, celebró Halloween en una jornada organizada el área de cultura de la Oficina de Bienestar al Aprendiz, que buscó fortalecer la integración y el sentido de pertenencia entre los aprendices.
Durante la actividad, los asistentes disfrutaron de rifas, concursos, presentaciones y un refrigerio especial, además de compartir un espacio recreativo lleno de color, disfraces y diversión.
El evento se convirtió en una oportunidad para resaltar la importancia del bienestar y la convivencia dentro de la formación integral, promoviendo espacios que favorecen la salud mental, la creatividad y el trabajo en equipo.
Bienestar realiza acompañamiento al programa de Agricultura Ecológica de la estrategia CampeSena
El área de CampeSena de Bienestar al Aprendiz, viene realizando seguimiento y acompañamiento permanente al programa de Formación en Agricultura Ecológica, que hace parte de la Formación Continua Especializada, una iniciativa que busca fortalecer las capacidades productivas y sostenibles de los aprendices del campo colombiano.
A través de este acompañamiento, se promueve el bienestar integral de los aprendices, garantizando que cuenten con las herramientas y el apoyo necesario para avanzar en sus procesos formativos, no solo desde el ámbito técnico, sino también desde el desarrollo personal y comunitario.
El programa en Agricultura Ecológica permite a los participantes adquirir conocimientos sobre prácticas sostenibles, manejo responsable del suelo, conservación de recursos naturales y producción agroecológica, contribuyendo al fortalecimiento de las economías rurales y al desarrollo sostenible de las comunidades campesinas.
Desde Bienestar al Aprendiz, se destaca el compromiso del área de CampeSena con el acompañamiento constante, el fortalecimiento del sentido de pertenencia y la creación de espacios que promuevan la formación integral y el crecimiento humano de los aprendices.
El área de CampeSena de Bienestar al Aprendiz, viene realizando seguimiento y acompañamiento permanente al programa de Formación en Agricultura Ecológica, que hace parte de la Formación Continua Especializada, una iniciativa que busca fortalecer las capacidades productivas y sostenibles de los aprendices del campo colombiano.
A través de este acompañamiento, se promueve el bienestar integral de los aprendices, garantizando que cuenten con las herramientas y el apoyo necesario para avanzar en sus procesos formativos, no solo desde el ámbito técnico, sino también desde el desarrollo personal y comunitario.
El programa en Agricultura Ecológica permite a los participantes adquirir conocimientos sobre prácticas sostenibles, manejo responsable del suelo, conservación de recursos naturales y producción agroecológica, contribuyendo al fortalecimiento de las economías rurales y al desarrollo sostenible de las comunidades campesinas.
Desde Bienestar al Aprendiz, se destaca el compromiso del área de CampeSena con el acompañamiento constante, el fortalecimiento del sentido de pertenencia y la creación de espacios que promuevan la formación integral y el crecimiento humano de los aprendices.
CONVIVENCIA: ASÍ SE VIVE EL APRENDIZAJE EN EL SENA
Aprendices del Centro para la Formación Cafetera del SENA participaron en una jornada e convivencia liderada por el equipo de Bienestar al Aprendiz, donde no solo fortalecieron sus lazos, sino que también conectaron con la riqueza del campo caldense y el potencial productivo de la región.
El recorrido tuvo lugar en la Hacienda Charrascal, vía Neira, un espacio lleno de aprendizajes, donde conocieron:
- Las facultades del café de nuestra tierra
- Los beneficios de las huertas de hidroponía, la agricultura del futuro.
- Actividades educativas en la granja, alimentando e interactuando con chivos, cabras, gallinas, búfalos, pavos y cerdos.
Aprendices del Centro para la Formación Cafetera del SENA participaron en una jornada e convivencia liderada por el equipo de Bienestar al Aprendiz, donde no solo fortalecieron sus lazos, sino que también conectaron con la riqueza del campo caldense y el potencial productivo de la región.
El recorrido tuvo lugar en la Hacienda Charrascal, vía Neira, un espacio lleno de aprendizajes, donde conocieron:
- Las facultades del café de nuestra tierra
- Los beneficios de las huertas de hidroponía, la agricultura del futuro.
- Actividades educativas en la granja, alimentando e interactuando con chivos, cabras, gallinas, búfalos, pavos y cerdos.
Una jornada para crecer en lo humano y lo profesional
Durante la experiencia, los aprendices participaron en actividades recreativas y formativas enfocadas en:
- Comunicación asertiva
- Trabajo en equipo
- Gestión de emociones
- Liderazgo participativo
La interacción entre grupos fue clave para generar un ambiente de respeto, integración y aprendizaje mutuo.
Una jornada para crecer en lo humano y lo profesional
Durante la experiencia, los aprendices participaron en actividades recreativas y formativas enfocadas en:
- Comunicación asertiva
- Trabajo en equipo
- Gestión de emociones
- Liderazgo participativo
La interacción entre grupos fue clave para generar un ambiente de respeto, integración y aprendizaje mutuo.
Grupos participantes
- Tecnólogo Producción Ganadera
- Tecnólogo de empresas Agropecuarias
Caminamos juntos por la salud mental
En el marco del Día Mundial de la Salud Mental, participamos en la caminata por la salud mental organizada por la Dirección Territorial de Caldas.
Desde el Centro para la Formación Cafetera, nos unimos con un grupo de aprendices para promover la importancia de cuidar la mente, fortalecer los lazos sociales y crear conciencia sobre la prevención y el acompañamiento emocional.
Esta jornada fue una oportunidad para recordar que la salud mental es parte esencial del bienestar integral y que, con acciones colectivas como esta, contribuimos a construir comunidades más empáticas, solidarias y saludables.
El Centro para la Formación Cafetera de la SENA Regional Caldas agradece profundamente a los representantes de aprendices salientes por su dedicación, liderazgo y valioso aporte durante su periodo de gestión.Hoy damos la bienvenida oficial a los nuevos representantes de aprendices elegidos para el periodo 2025–2026, quienes realizaron su juramento de posesión, asumiendo con orgullo y responsabilidad el compromiso de representar a sus compañeros y aportar al fortalecimiento de nuestra comunidad educativa. Este acto es un reconocimiento al liderazgo juvenil que construye futuro y fortalece la participación activa de nuestros aprendices.
Día Mundial de la Salud Mental: ¿Te estás cuidando?
Hoy 10 de octubre celebramos el Día Mundial de la Salud Mental. Esta fecha es la oportunidad perfecta para que cada uno de nosotros haga una pausa y se pregunte honestamente: ¿Qué acciones concretas estoy implementando para cuidar mi bienestar mental?
Recuerden que priorizar la salud mental no es un lujo, sino una necesidad y el fundamento de todo lo que hacemos.
¡Alerta! No caigas en correos falsos: protege tu información personal
En los últimos días se han detectado correos electrónicos falsos (phishing) que intentan engañar a los usuarios haciéndose pasar por empresas reconocidas como Microsoft o WhatsApp.
Estos mensajes suelen decir que debes validar tu cuenta o hacer clic en un enlace sospechoso (por ejemplo: regisaccount83933.wuaze.com) y advierten que tu cuenta será bloqueada si no lo haces.
¿Qué es el phishing?
El phishing es una técnica de ciberataque en la que delincuentes suplantan a empresas o instituciones reconocidas para robar información personal, contraseñas, números de cuentas bancarias o cualquier dato sensible.
Recomendaciones importantes:
- No hagas clic en enlaces incluidos en estos correos.
- No respondas a los remitentes.
- Si por error, informa de inmediato al área de TI para que puedan ayudarte a cambiar tu contraseña.
Recuerda:
Estos mensajes NO provienen de Microsoft, WhatsApp, la DIAN, Bancolombia ni de ninguna otra entidad oficial. También es común recibir correos falsos que dicen venir de bancos o entidades gubernamentales solicitando contraseñas, pagos o información personal. Nunca compartas tus datos por correo y accede siempre desde las páginas oficiales.
Cuida tu información. La mejor defensa es estar alerta y no caer en trampas digitales.
regisaccount83933.wuaze.com) y advierten que tu cuenta será bloqueada si no lo haces.- No hagas clic en enlaces incluidos en estos correos.
- No respondas a los remitentes.
- Si por error, informa de inmediato al área de TI para que puedan ayudarte a cambiar tu contraseña.
Aprendices del Centro de Formación Cafetera participan en la Cumbre Nacional de Representantes 2025 en Quibdó, Chocó
LIDERAZGO l Representantes del Centro para la Formación Cafetera y aprendices voceros de Enfoque Diferencial participan de la Cumbre de Representantes de Aprendices en el municipio de Quibdó, Chocó. Harold Damián Ospina como representante, Nikol Morelis Alpala como vocera indígena y Paola Andrea Valdés como vocera campesina, tienen la misión en este espacio de aportar ideas y propuestas que fortalezcan el bienestar, la participación y la proyección de los aprendices a nivel nacional.
Ellos junto con los demás aprendices que representan los otros centros de formación de la regional Caldas conforman una delegación de 13 personas que hoy son la voz de los jóvenes en este evento nacional.
Con esta participación, el Centro de Formación Cafetera reafirma su compromiso con el fortalecimiento del liderazgo, la representación y la construcción de propuestas que respondan a las necesidades y sueños de los aprendices de la Regional Caldas.
Talento del Semillero de Cine del CFC brilla en el festival internacional SmartFilms
Los aprendices del SENA del CFC Betsy Romero, Saron Cardona, Sergio Torres, Laura Sofía Gonzales, Darwin Morales, Daniela Jiménez y José Manuel Pérez, pertenecientes al Semillero de Cine, junto a su profesor y director Andrés Leonardo Meza Gaviria, han llevado su talento a lo más alto, presentando un cortometraje (película corta) "A UNA SONRISA DE TI" en el festival de cine más importante e inclusivo del mundo: SMARTFILMS.
Su proyecto fue seleccionado en la convocatoria oficial y muy pronto se abrirán las votaciones para que todos puedan apoyarlos con su voto.
"Presentarse a esta convocatoria representó un arduo trabajo, que consistió en un proceso inicial de clases de teatro, actuación cine y desarrollo de la expresión corporal y seguridad en los aprendices. Es un orgullo haber pasado al festival de cine más importante del mundo y ver el fruto del trabajo y el crecimiento personal en cada uno de estos jóvenes", aseguró el profesional Andrés Meza Gaviria.
El área de Cultura llenó de sonrisas y afecto la celebración del Amor y la Amistad
CULTURA l El Centro de Formación Cafetera se unió a la celebración del Día del Amor y la Amistad con una jornada llena de afecto, alegría y unión. La actividad, liderada por el área de Cultura, reunió a más de 300 aprendices que disfrutaron de notas cargadas de mensajes positivos, risas, chocolates y una merienda especial preparada para esta ocasión.
El objetivo de la iniciativa fue fortalecer los lazos de amistad y promover un ambiente de integración entre la comunidad de aprendices, quienes encontraron en esta celebración un espacio para compartir y vivir de manera diferente esta fecha significativa.
Centro de Formación Cafetera acompaña a grupo de tratamiento de agua en Anserma con actividades de liderazgo y plan padrino
Con este acompañamiento, el Centro de Formación Cafetera reafirma su compromiso con los procesos comunitarios que impactan directamente la calidad de vida de los municipios, brindando herramientas que potencian las capacidades individuales y colectivas de los aprendices y líderes locales.
Fortalece tus habilidades: Programación de espacios y transferencias VIRTUALES – Septiembre
Modalidad Virtual l Con el propósito de acompañar a los aprendices durante el desarrollo de los programas de formación virtual y a distancia, desde la Dirección de Formación Profesional, se disponen diversos espacios para el fortalecimiento de las habilidades académicas, sociales y digitales, las cuales son fundamentales en los procesos formativos de modalidad virtual.
En ese orden de ideas, compartimos la programación de transferencias y espacios de atención sincrónica proyectados para el mes de septiembre.
Se adjunta para consulta los archivos correspondientes, con la programación y enlaces de acceso. De igual manera, la información se podrá consultar ingresando a la comunidad de aprendices, a través del siguiente enlace: https://ejecucionformacion.sena.edu.co/comunidad-aprendices
Agradecemos esta información sea compartida con sus compañeros.
¡Los/as esperamos!
CLIC AQUÍ PARA Programación transferencias aprendices Septiembre
CLIC AQUÍ PARA Programación atención sincrónica aprendices SEPTIEMBRE
Primera convocatoria para la inscripción a los Semilleros de Investigación 2025
La institución abre oficialmente la primera convocatoria de inscripción a los Semilleros de Investigación 2025, invitando a todos los aprendices interesados a ser parte de esta importante estrategia que impulsa la innovación, la ciencia y la tecnología dentro de la formación integral.
El próximo 25 de septiembre tendremos una reunión clave en la que se socializarán los lineamientos y beneficios de esta convocatoria, en alineación con las directrices de SENNOVA.
La participación activa de los aprendices es fundamental para fortalecer los procesos de investigación y desarrollo, así como para continuar construyendo conocimiento al servicio de la región y el país.
Hábitos de salud oral en los entornos laborales
El área de Salud de Bienestar Al Aprendiz y CampeSEna, vienen desarrollando talleres de promoción de hábitos de salud oral en los entornos laborales, con el propósito de contribuir al bienestar y la calidad de vida de los aprendices.
Conmemoración de los Pueblos Indígenas
En el Centro de Formación Cafetera, se llevó a cabo una jornada de conmemoración en honor a los pueblos indígenas de Colombia, cuyo propósito fue reconocer, valorar y visibilizar el aporte que estas comunidades hacen a la sociedad, al territorio y a la educación.
Temas destacados en la conmemoración:
- Historia y luchas por el bienestar de la población indígena: una mirada a los procesos de resistencia, defensa del territorio y búsqueda de mejores condiciones de vida.
- Mecanismos de participación: se visibilizaron las organizaciones indígenas que hoy trabajan por los derechos de sus comunidades, generando espacios de incidencia y participación en la vida pública.
- Necesidades en la formación: se planteó la importancia de que los programas educativos reconozcan la diversidad cultural, adaptándose a los contextos y realidades de los pueblos indígenas.
- Raíces, saberes y tradiciones: se destacó el rol fundamental de los pueblos indígenas en la conservación territorial, el cuidado de la naturaleza y la transmisión de conocimientos ancestrales.
- Diversidad cultural: recordamos que en Colombia existen 115 pueblos indígenas y 65 lenguas que enriquecen el patrimonio cultural de la nación.
Conéctate: Aclaración de dudas Apoyos de Sostenimiento Regular - Convocatoria ll - 2025
Este lunes 25 de agosto realizaremos una reunión informativa del proceso de apoyos de sostenimiento regular; se aclarará el proceso de desembolso, los requisitos y se realizará la notificación de la adjudicación de los aprendices aspirantes de la II convocatoria de la vigencia 2025.
Tu participación en este espacio es muy importante. Así mismo, si tienes dudas es el espacio para aclararlas.
Te Esperamos.
Alcance No 2 de la Convocatoria de Apoyos de Sostenimiento Regular del CFC - Segundo Semestre
Nos complace compartir con ustedes el Alcance No 2 de la convocatoria de apoyos de sostenimiento regular para el segundo semestre del año. Este alcance es un paso importante para garantizar que los aprendices del CFC puedan continuar con su proceso de formación sin contratiempos, asegurando su acceso a los apoyos necesarios durante este período académico.
Celebramos el Día del Aprendiz en Chinchiná con actividades recreativas y pedagógicas
En el marco de la conmemoración del Día del Aprendiz SENA, el Centro para la Formación Cafetera realizó una jornada especial en el municipio de Chinchiná, en la que participaron activamente nuestros aprendices y el equipo de Bienestar al Aprendiz.
La celebración incluyó actividades recreativas y pedagógicas diseñadas para fomentar la integración, el trabajo en equipo y el fortalecimiento de valores como el respeto, la cooperación y la convivencia. Juegos, dinámicas y espacios de reflexión hicieron parte de la programación, generando momentos de alegría y aprendizaje entre los participantes.
Este tipo de encuentros permiten reconocer el esfuerzo y compromiso de nuestros aprendices con su proceso formativo, al tiempo que fortalecen el sentido de pertenencia hacia la comunidad SENA
Agradecemos a todos los que hicieron posible esta jornada y reiteramos nuestro compromiso de seguir trabajando por el bienestar y desarrollo integral de nuestros aprendices.
Desde el programa de bilingüismo del Centro para la Formación Cafetera del SENA, te invitamos a ser parte del nuevo Club de Conversación: Speak Up! English for real life, un espacio pensado para que practiquemos juntos y perdamos el miedo a hablar en inglés.- Abierto para todos los niveles.
- Certificable.
- Cupos limitados.
Dale PLAY al siguiente video y acepta el reto.
youtube.com
- Dirigido a: Aprendices, instructores y personal administrativo SENA
- Fecha límite de inscripción: lunes 11 de agosto de 2025, 10:00 AM o hasta que se agoten los cupos.
- Abierto para todos los niveles.
- Certificable.
- Cupos limitados.
youtube.com |
CONVIVENCIA: ASÍ SE VIVE EL APRENDIZAJE EN EL SENA
Más de 70 aprendices del Centro para la Formación Cafetera del SENA participaron en una jornada de convivencia liderada por el equipo de Bienestar al Aprendiz, donde no solo fortalecieron sus lazos, sino que también conectaron con la riqueza del campo caldense y el potencial productivo de la región.
El recorrido tuvo lugar en la Hacienda Charrascal, vía Neira, un espacio lleno de aprendizajes, donde conocieron:
- Las facultades del café de nuestra tierra
- Los beneficios de las huertas de hidroponía, la agricultura del futuro.
- Actividades educativas en la granja, alimentando e interactuando con chivos, cabras, gallinas, búfalos, pavos y marranos
Una jornada para crecer en lo humano y lo profesional
Durante la experiencia, los aprendices participaron en actividades recreativas y formativas enfocadas en:
- Comunicación asertiva
- Trabajo en equipo
- Gestión de emociones
- Liderazgo participativo
La interacción entre grupos fue clave para generar un ambiente de respeto, integración y aprendizaje mutuo.
Grupos participantes
- Técnico Producción de Cafés Especiales.
- 2 grupos de Técnico en Construcción de Edificaciones de Estructuras de Guadua.
- Técnico en Servicios de Barismo.
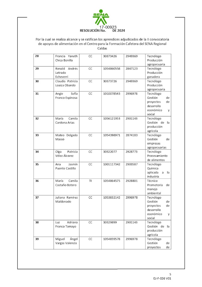
Mira aquí el listado de aprendices elegibles de la II convocatoria de Apoyos de Sostenimiento Regular del Centro para la Formación Cafetera de la vigencia 2025.
NUEVA OPORTUNIDAD DE APOYO PARA APRENDICES SENA
Se amplía la II Convocatoria de Apoyos de Sostenimiento Regular 2025
Desde la Dirección Nacional del SENA se han asignado 38 cupos adicionales para la II Convocatoria de Apoyos de Sostenimiento Regular. Esta novedad hace necesario realizar un alcance a la circular inicial, el cual ya fue radicado formalmente.
Se invita a todos los aprendices del Centro para la Formación Cafetera a estar atentos y postularse, si cumplen los requisitos establecidos.
Para más detalles, consulta con el equipo de Bienestar o en la página oficial del centro aquí
✅ Soportes para copitos y bombas
✅ Pitillos y mezcladores
Evita el uso de plásticos de un solo uso y opta por alternativas reutilizables y biodegradables.
SENA Regional Caldas publica resultados de la convocatoria para apoyos de sostenimiento 2025
Manizales, 28 de julio de 2025
El Centro para la Formación Cafetera del SENA Regional Caldas da a conocer el resultado oficial de la priorización de aprendices aspirantes a la Segunda Convocatoria de Apoyos de Sostenimiento Regular para el año 2025. El proceso clasificó a los estudiantes en cuatro categorías: "Cumple con puntaje de priorización", "Cumple sin puntaje", "No cumple con los requisitos" y "No entregó documentación".
Los aprendices que cumplen con los requisitos y obtienen puntaje de priorización quedaron en lista de elegibles ordenados según su puntaje, mientras que quienes cumplen sin puntaje también podrán ser adjudicados. Aquellos que no cumplieron requisitos o no entregaron la documentación necesaria fueron excluidos del beneficio.
La adjudicación se realizará siguiendo la normatividad vigente y disponibilidad presupuestal. Se mantienen abiertas hasta el 31 de julio de 2025 las solicitudes de ajustes de puntajes y aclaraciones.
El centro invita a los aprendices a comunicarse a través de los correos abuitrago@sena.edu.co y lmcastrillonn@sena.edu.co o presencialmente en la oficina de Bienestar.
CLIC AQUÍ
Este proceso forma parte del compromiso del SENA con el apoyo económico para facilitar la continuidad y éxito académico de sus aprendices.
Apertura II Convocatoria de Monitorias del Centro para la Formación Cafetera 2do semestre 2025
¡Apertura II Convocatoria de Monitorias! 15 de julio de 2025.
Estamos buscando aprendices destacados que quieran ser parte del programa de monitorías para el segundo semestre de 2025. Las monitorias son actividades donde los aprendices seleccionados apoyan el proceso formativo a través de acciones complementarias, fortaleciendo su liderazgo y habilidades profesionales.- Verifica que cumples todos los requisitos leyendo detalladamente la circular.
- Inscríbete en el formulario oficial.
- Envía los siguientes documentos al correo lmcastrillonn@sena.edu.co y abuitrago@sena.edu.co: copia del documento de identidad; carta de manifestación de interés indicando a qué monitoria te postulas.
- Asunto del correo: NOMBRE DEL APRENDIZ–CONVOCATORIA II–MONITORIAS
Nota: Las postulaciones incompletas o fuera de las fechas establecidas no serán tenidas en cuenta.
¿Eres aprendiz presencial en el Centro para la Formación Cafetera? ¡Esta es tu oportunidad para participar y crecer!
Requisitos
- Haber completado al menos el 25% de los resultados de aprendizaje de tu programa.
- Ser aprendiz SENA con mínimo 3 meses de antigüedad.
- No tener sanciones, faltas académicas, o disciplinarias.
- Disponibilidad de tiempo según los horarios y lugares requeridos por el Centro.
- No tener vínculos o parentescos hasta segundo grado con servidores públicos o contratistas del Centro.
- 50% Desempeño Técnico: Valoración por parte de los instructores.
- 50% Competencias actitudinales: Disciplina, responsabilidad, puntualidad, liderazgo, trabajo en equipo, manejo TIC, entre otras.
- Estímulo económico por participación (no constitutivo de salario).
Participa, demuestra tu liderazgo y contribuye a la calidad educativa de nuestro Centro. Si ya fuiste monitor, puedes postularte nuevamente si aún estás en tu proceso formativo. Para más información consulta la circular oficial publicada por el Centro para la Formación Cafetera.
¡Esperamos tu postulación!
- Verifica que cumples todos los requisitos leyendo detalladamente la circular.
- Inscríbete en el formulario oficial.
- Envía los siguientes documentos al correo lmcastrillonn@sena.edu.co y abuitrago@sena.edu.co: copia del documento de identidad; carta de manifestación de interés indicando a qué monitoria te postulas.
- Asunto del correo: NOMBRE DEL APRENDIZ–CONVOCATORIA II–MONITORIAS
Haga clic aquí para ver la convocatoria.
INSCRÍBETE AQUÍ A ACTUALIZACION DEL SISTEMA DE GESTION DE SEGURIDAD Y SALUD EN EL TRABAJO SG-SST
Durante la actividad, los aprendices conocieron la misión, visión y servicios del SENA, así como las rutas de apoyo disponibles para garantizar su bienestar integral. También se llevó a cabo la elección de voceros, quienes representarán al grupo ante la institución y apoyarán la comunicación entre los aprendices y la coordinación académica.
La jornada tuvo como objetivo fortalecer la integración, la participación activa y el sentido de pertenencia de los nuevos aprendices, reafirmando el compromiso del SENA con la formación de talento humano calificado para el desarrollo regional.
Apertura II Convocatoria de Monitorias del Centro para la Formación Cafetera 2do semestre 2025
- Verifica que cumples todos los requisitos leyendo detalladamente la circular.
- Inscríbete en el formulario oficial.
- Envía los siguientes documentos al correo lmcastrillonn@sena.edu.co y abuitrago@sena.edu.co: copia del documento de identidad; carta de manifestación de interés indicando a qué monitoria te postulas.
- Asunto del correo: NOMBRE DEL APRENDIZ–CONVOCATORIA II–MONITORIAS
Haga clic aquí para ver la convocatoria.
Campaña ambiental
Listado Definitivo Aprendices Inscritos – II Convocatoria de Apoyos de Sostenimiento Regular
¡Aprendices! Desde Bienestar al Aprendiz del Centro Para la Formación Cafetera, socializamos el listado definitivo de inscritos a la II Convocatoria de Apoyos de Sostenimiento Regular, con el fin de hacer seguimiento al proceso y garantizar una gestión transparente y oportuna de estos estímulos.
¡Aprendices! Desde Bienestar al Aprendiz del Centro Para la Formación Cafetera, socializamos el listado definitivo de inscritos a la II Convocatoria de Apoyos de Sostenimiento Regular, con el fin de hacer seguimiento al proceso y garantizar una gestión transparente y oportuna de estos estímulos.
Haga clic aquí para ver el listado definitivo
Encuentro Regional de Representantes del SENA Caldas
Conversatorio y construcción colectiva de banderas LGBTIQ+ en el CFC del SENA
Les compartimos algunas imágenes del conversatorio y la construcción colectiva de banderas LGBTI+ realizadas hoy 9 de julio en la Biblioteca del SENA. Este espacio fue diseñado como parte del proceso formativo para reflexionar sobre el acceso a derechos, compartir experiencias y promover el respeto por la diversidad.
Agradecemos la participación de los aprendices del Centro para la Formación Cafetera, quienes contribuyeron con sus ideas y perspectivas en un ejercicio pedagógico que busca fortalecer la comprensión y el diálogo en el marco de la formación integral.
Informe N.º 12 Aprendices Inscritos – II Convocatoria de Apoyos de Sostenimiento Regular
¡Aprendices! Desde Bienestar al Aprendiz del Centro Para la Formación Cafetera, socializamos el Reporte N.º 12 de inscritos a la II Convocatoria de Apoyos de Sostenimiento Regular , con el fin de hacer seguimiento al proceso y garantizar una gestión transparente y oportuna de estos estímulos.
¡Aprendices! Desde Bienestar al Aprendiz del Centro Para la Formación Cafetera, socializamos el Reporte N.º 12 de inscritos a la II Convocatoria de Apoyos de Sostenimiento Regular , con el fin de hacer seguimiento al proceso y garantizar una gestión transparente y oportuna de estos estímulos.
Haga clic aquí para acceder al Informe 12
Informe N.º 11 Aprendices Inscritos – II Convocatoria de Apoyos de Sostenimiento Regular
¡Aprendices! Desde Bienestar al Aprendiz del Centro Para la Formación Cafetera, socializamos el Reporte N.º 11 de inscritos a la II Convocatoria de Apoyos de Sostenimiento Regular , con el fin de hacer seguimiento al proceso y garantizar una gestión transparente y oportuna de estos estímulos.
¡Aprendices! Desde Bienestar al Aprendiz del Centro Para la Formación Cafetera, socializamos el Reporte N.º 11 de inscritos a la II Convocatoria de Apoyos de Sostenimiento Regular , con el fin de hacer seguimiento al proceso y garantizar una gestión transparente y oportuna de estos estímulos.
Haga clic aquí para acceder al Informe 11
Informe N.º 10 Aprendices Inscritos – II Convocatoria de Apoyos de Sostenimiento Regular
¡Aprendices! Desde Bienestar al Aprendiz del Centro Para la Formación Cafetera, socializamos el Reporte N.º 10 de inscritos a la II Convocatoria de Apoyos de Sostenimiento Regular , con el fin de hacer seguimiento al proceso y garantizar una gestión transparente y oportuna de estos estímulos.
¡Aprendices! Desde Bienestar al Aprendiz del Centro Para la Formación Cafetera, socializamos el Reporte N.º 10 de inscritos a la II Convocatoria de Apoyos de Sostenimiento Regular , con el fin de hacer seguimiento al proceso y garantizar una gestión transparente y oportuna de estos estímulos.
Haga clic aquí para acceder al Informe 10
Informe N.º 9 Aprendices Inscritos – II Convocatoria de Apoyos de Sostenimiento Regular
¡Aprendices! Desde Bienestar al Aprendiz del Centro Para la Formación Cafetera, socializamos el Reporte N.º 9 de inscritos a la II Convocatoria de Apoyos de Sostenimiento Regular , con el fin de hacer seguimiento al proceso y garantizar una gestión transparente y oportuna de estos estímulos.
¡Aprendices! Desde Bienestar al Aprendiz del Centro Para la Formación Cafetera, socializamos el Reporte N.º 9 de inscritos a la II Convocatoria de Apoyos de Sostenimiento Regular , con el fin de hacer seguimiento al proceso y garantizar una gestión transparente y oportuna de estos estímulos.
Haga clic aquí para acceder al Informe 9
Informe N.º 7 Aprendices Inscritos – II Convocatoria de Apoyos de Sostenimiento Regular
¡Aprendices! Desde Bienestar al Aprendiz del Centro Para la Formación Cafetera, socializamos el Reporte N.º 7 de inscritos a la II Convocatoria de Apoyos de Sostenimiento Regular , con el fin de hacer seguimiento al proceso y garantizar una gestión transparente y oportuna de estos estímulos.
¡Aprendices! Desde Bienestar al Aprendiz del Centro Para la Formación Cafetera, socializamos el Reporte N.º 7 de inscritos a la II Convocatoria de Apoyos de Sostenimiento Regular , con el fin de hacer seguimiento al proceso y garantizar una gestión transparente y oportuna de estos estímulos.
Haga clic aquí para acceder al Informe 7
Informe N.º 6 Aprendices Inscritos – II Convocatoria de Apoyos de Sostenimiento Regular
¡Aprendices! Desde Bienestar al Aprendiz del Centro Para la Formación Cafetera, socializamos el Reporte N.º 6 de inscritos a la II Convocatoria de Apoyos de Sostenimiento Regular , con el fin de hacer seguimiento al proceso y garantizar una gestión transparente y oportuna de estos estímulos.
¡Aprendices! Desde Bienestar al Aprendiz del Centro Para la Formación Cafetera, socializamos el Reporte N.º 6 de inscritos a la II Convocatoria de Apoyos de Sostenimiento Regular , con el fin de hacer seguimiento al proceso y garantizar una gestión transparente y oportuna de estos estímulos.
Haga clic aquí para acceder al Informe 6
Tradición en el Desfile Multicultural del SENA
.jpeg)
Informe N.º 5 Aprendices Inscritos – II Convocatoria de Apoyos de Sostenimiento Regular
¡Aprendices! Desde Bienestar al Aprendiz del Centro Para la Formación Cafetera, socializamos el Reporte N.º 5 de inscritos a la II Convocatoria de Apoyos de Sostenimiento Regular , con el fin de hacer seguimiento al proceso y garantizar una gestión transparente y oportuna de estos estímulos.
¡Aprendices! Desde Bienestar al Aprendiz del Centro Para la Formación Cafetera, socializamos el Reporte N.º 5 de inscritos a la II Convocatoria de Apoyos de Sostenimiento Regular , con el fin de hacer seguimiento al proceso y garantizar una gestión transparente y oportuna de estos estímulos.
Haga clic aquí para acceder al Informe 5
¡Explosión de Color y Alegría en el Color Fest del SENA Caldas!
Durante la Semana del Aprendiz 2025, vivimos uno de los momentos más emocionantes y vibrantes: el Color Fest, una actividad llena de energía, música, sonrisas y ¡mucho color!
Esta jornada fue liderada por nuestra profesional de Deporte, Yessica Ortegón Vallejo, quien representó con orgullo al Centro para la Formación Cafetera.
Aprendices de todos los centros del SENA Caldas se unieron para celebrar juntos el bienestar, la integración y el espíritu de compañerismo que nos caracteriza.
Gracias a cada uno por su participación, entusiasmo y buena vibra. ¡Así construimos experiencias que marcan la diferencia!
Informe N.º 4 Aprendices Inscritos – II Convocatoria de Apoyos de Sostenimiento Regular
¡Aprendices! Desde Bienestar al Aprendiz del Centro Para la Formación Cafetera, socializamos el Reporte N.º 4 de inscritos a la II Convocatoria de Apoyos de Sostenimiento Regular , con el fin de hacer seguimiento al proceso y garantizar una gestión transparente y oportuna de estos estímulos.
¡Aprendices! Desde Bienestar al Aprendiz del Centro Para la Formación Cafetera, socializamos el Reporte N.º 4 de inscritos a la II Convocatoria de Apoyos de Sostenimiento Regular , con el fin de hacer seguimiento al proceso y garantizar una gestión transparente y oportuna de estos estímulos.
Informe N.º 3 Aprendices Inscritos – II Convocatoria de Apoyos de Sostenimiento Regular
¡Aprendices! Desde Bienestar al Aprendiz del Centro Para la Formación Cafetera, socializamos el Reporte N.º 3 de inscritos a la II Convocatoria de Apoyos de Sostenimiento Regular , con el fin de hacer seguimiento al proceso y garantizar una gestión transparente y oportuna de estos estímulos.
¡Aprendices! Desde Bienestar al Aprendiz del Centro Para la Formación Cafetera, socializamos el Reporte N.º 3 de inscritos a la II Convocatoria de Apoyos de Sostenimiento Regular , con el fin de hacer seguimiento al proceso y garantizar una gestión transparente y oportuna de estos estímulos.
SENA Caldas vibra con la Semana del Aprendiz 2025
El SENA Regional Caldas dio inicio a la Semana del Aprendiz 2025 , una celebración pensada especialmente para ustedes, nuestros aprendices. Durante toda la semana, viviremos actividades llenas de alegría, salud, cultura, integración y mucho aprendizaje.
Desde Bienestar del Centro para la Formación Cafetera , nos hemos articulado con los demás centros de formación para ofrecer una programación diversa y llena de experiencias inolvidables.
Actividades destacadas:
- Deporte, arte y diversión
- Feria de salud mental
- Gestión emocional con apoyo del Colegio Colombiano de Psicólogos (COLPSIC)
- Jornada de prevención en alianza con la Secretaría de Salud de la Alcaldía de Manizales.
- Carpa Rosa – prevención y autocuidado
- Escuela de Liderazgo SENA
- Exposición de proyectos de responsabilidad social comunitaria
- Torneos relámpago: fútbol sala, fútbol, baloncesto y balonmano
- Fiesta del color
- Comparsas, bailes, desfiles
- DJ's en vivo, música, fiesta del aprendiz
¡Celebra con nosotros esta semana que reconoce tu esfuerzo, talento y compromiso como aprendiz SENA!
¡Celebra con nosotros esta semana que reconoce tu esfuerzo, talento y compromiso como aprendiz SENA!
Informe N.º 2 Aprendices Inscritos – II Convocatoria de Apoyos de Sostenimiento Regular
¡Aprendices! Desde Bienestar al Aprendiz del Centro Para la Formación Cafetera, socializamos el Reporte N.º 2 de inscritos a la II Convocatoria de Apoyos de Sostenimiento Regular , con el fin de hacer seguimiento al proceso y garantizar una gestión transparente y oportuna de estos estímulos.
Haga clic aquí para acceder al Informe 2
¡Aprendices! Desde Bienestar al Aprendiz del Centro Para la Formación Cafetera, socializamos el Reporte N.º 2 de inscritos a la II Convocatoria de Apoyos de Sostenimiento Regular , con el fin de hacer seguimiento al proceso y garantizar una gestión transparente y oportuna de estos estímulos.
Haga clic aquí para acceder al Informe 2
El Centro para la Formación Cafetera celebró el Día del Campesino con sus aprendices
El área de Bienestar al Aprendiz del SENA Caldas realizó una jornada especial en el Centro para la Formación Cafetera para conmemorar el Día del Campesino, una fecha que honra la labor y la tradición de quienes trabajan la tierra y construyen territorio.
Durante la jornada, los aprendices disfrutaron de espacios llenos de alegría, música en vivo, actividad física, muestras de emprendimiento y momentos para compartir en comunidad.
La celebración también buscó reconocer el origen campesino de muchos aprendices, fortaleciendo su identidad cultural y el sentido de pertenencia por el campo colombiano. Este tipo de actividades promueven el bienestar integral de la comunidad SENA y destacan el valor del campesinado en el desarrollo del país.

El área de Bienestar al Aprendiz del SENA Caldas realizó una jornada especial en el Centro para la Formación Cafetera para conmemorar el Día del Campesino, una fecha que honra la labor y la tradición de quienes trabajan la tierra y construyen territorio.
Este tipo de actividades promueven el bienestar integral de la comunidad SENA y destacan el valor del campesinado en el desarrollo del país.
Reporte N.º 1 Aprendices Inscritos – II Convocatoria de Apoyos de Sostenimiento Regular
¡Aprendices! Desde Bienestar al Aprendiz del Centro Para la Formación Cafetera, socializamos el Reporte N.º 1 de inscritos a la II Convocatoria de Apoyos de Sostenimiento Regular, con el fin de hacer seguimiento al proceso y garantizar una gestión transparente y oportuna de estos estímulos.
Clic aquí para acceder al reporte
Apertura II - 2025 Convocatoria de Apoyos de Sostenimiento Regular SENA
Nos complace anunciar la apertura de la II Convocatoria de Apoyos de Sostenimiento Regular, una oportunidad pensada para brindar respaldo económico a quienes más lo necesitan durante su proceso de formación.
Esta convocatoria está dirigida exclusivamente a aprendices de formación titulada en las modalidades virtual y presencial.
Importante: No aplica para programas de formación impartidos a través de FIC (Fondo de la Industria y la Construcción).
¡Aprovecha este beneficio que fortalece tu camino hacia el éxito profesional!
CLIC AQUÍ PARA ACCEDER A LA CONVOCATORIA
Algunos requisitos clave:
✔️ Estar matriculado en un programa de formación laboral o tecnológica.
✔️ Pertenecer a los estratos 1 o 2.
✔️ No tener contrato laboral, patrocinio ni prácticas que generen ingresos.
✔️ No haber sido beneficiario de este apoyo u otros como Jóvenes en Acción.
✔️ Estar en estado "En formación" en el sistema.
✔️ Inscribirse dentro de las fechas establecidas.
Recuerda: La información registrada debe ser veraz. Cualquier inconsistencia puede generar la exclusión del beneficio.
¿Cumples con los requisitos?
¡Te invitamos a profundizar en todos los detalles y criterios de priorización leyendo la circular completa!
El Centro para la Formación Cafetera celebra el cumplimiento de sueños de mujeres de la Vereda La Aurora
El Centro para la Formación Cafetera tuvo el honor de recibir a las aprendices del programa Auxiliar en Promoción de la Seguridad Alimentaria, provenientes de la Vereda La Aurora del municipio de Manizales.
Esta visita, realizada en la planta de Agroindustria, permitió a las participantes desarrollar sus prácticas de procesamiento de alimentos, profundizar sus conocimientos y fortalecer sus competencias.
Lo más inspirador de este encuentro es que muchas de estas aprendices, a pesar de su edad y de las dificultades que en el pasado les impidieron acceder a la educación formal, hoy están cumpliendo sus sueños de formarse y aportar al desarrollo de sus comunidades. "Gracias al compromiso del SENA y al esfuerzo de cada una de ellas, se demuestra que nunca es tarde para aprender, crecer y transformar vidas", afirmó Vanesa Cifuentes, profesional en Desarrollo Familiar de la Oficina de Bienestar al Aprendiz del CFC.
La profesional, añadió que desde el Centro para la Formación Cafetera "reiteramos nuestro orgullo y apoyo a todas las mujeres valientes que, con dedicación y entusiasmo, demuestran que la educación es una puerta abierta a nuevas oportunidades, sin importar la edad".
¡Felicitaciones por este gran logro y por ser ejemplo de superación y perseverancia para toda la región!
SENA CALDAS CELEBRA CON UNIDAD Y CULTURA EL DÍA DE LA AFROCOLOMBIANIDAD
En una jornada llena de color, identidad y memoria, los equipos de Cultura y Arte del SENA Caldas se unieron para conmemorar de manera conjunta el Día Nacional de la Afrocolombianidad, reafirmando el compromiso institucional con la diversidad, la inclusión y el reconocimiento de las raíces que enriquecen nuestra historia como país.
La celebración tuvo lugar de forma simultánea en los diferentes Centros de Formación del Sena en Manizales, donde aprendices, instructores y colaboradores participaron activamente en una agenda cultural diversa que permitió visibilizar el legado y la riqueza de las comunidades afrodescendientes en Colombia.
Entre las actividades destacadas se incluyeron:
Narrativa visual: "La historia de las trenzas" Una representación artística y pedagógica que dio a conocer el poderoso simbolismo de las trenzas en la historia de la población afrodescendiente, utilizadas en tiempos de esclavitud como forma de resistencia, comunicación y expresión cultural.
Muestras de baile folclórico afrocolombiano: Grupos de aprendices presentaron coreografías tradicionales del Pacífico colombiano, como la danza del currulao y otros ritmos autóctonos, resaltando la fuerza, el ritmo y la identidad del pueblo afrocolombiano.
Pintura facial y símbolos de resistencia: Los aprendices participaron en actividades de pintura facial con diseños que representan los símbolos ancestrales y espirituales de las comunidades afro, generando un espacio de reflexión sobre el orgullo étnico y la conexión con la herencia africana.
Esta conmemoración fue una oportunidad para educar, sensibilizar y construir una formación más consciente e inclusiva, donde se reconozcan los aportes de las comunidades afro a la construcción del país.
Desde el SENA Caldas seguimos promoviendo espacios donde el arte, la cultura y el respeto por la diferencia sean parte fundamental del proceso formativo, en coherencia con nuestro modelo pedagógico integral y nuestro compromiso con un enfoque pluralista y diferencial.
Curso de Japonés 2025 – ¡Inscripciones abiertas para aprendices, instructores y administrativos!
Desde el programa de bilingüismo del Centro para la Formación Cafetera del SENA, Regional Caldas, se invita a aprendices, administrativos e instructores al curso de Japonés 2025, los jueves de 2:00 p.m. a 3:30 p.m. a partir del 5 de junio.
Para inscribirse, por favor vean el video informativo y completen el formulario:
Video informativo
Formulario de inscripción
Segunda convocatoria 2025 para contrato de aprendizaje con recursos de la Ley 344 – Cupos SENNOVA disponibles
En atención a la Circular General No. 01-3-2025-000120, compartimos la 2da convocatoria 2025, para aprendices interesados en realizar su etapa Productiva en la modalidad de contrato de aprendizaje con recursos de la ley 344 de 1996.
En el Centro de Formación se cuentan con 2 cupos para contrato de aprendizaje para SENNOVA Inscripciones: 03 al 09 de junio.
El Centro para la Formación Cafetera del SENA Caldas impulsa la cultura ambiental entre sus aprendices
El Centro para la Formación Cafetera del SENA Caldas fortalece su cultura ambiental mediante la instalación de puntos ecológicos estratégicos en todas sus instalaciones. Esta iniciativa busca promover el reciclaje responsable entre los aprendices y toda la comunidad educativa.
Los puntos ecológicos incluyen:
Botella de reciclaje:
- Tapa de la botella: Recolecta las tapas plásticas.
- Cuerpo de la botella: Recibe las botellas plásticas a través del agujero.
- Caneca blanca - Residuos Aprovechables: Destinada para materiales que pueden ser reciclados como: Plástico, vidrio, metales, cartón, papel periódico
- Caneca negra - Residuos No Aprovechables: Para materiales que no se pueden reciclar, tales como: papel higiénico, servilletas usadas, papeles y cartones contaminados con comida, papeles metalizados.
Estas canecas están distribuidas en todo el Centro para facilitar su correcto uso.
El Centro invita a todos los aprendices a participar activamente en este esfuerzo, reconociendo que pequeñas acciones diarias pueden generar grandes cambios a favor del planeta.
"La protección del medio ambiente comienza con una mirada sincera hacia nuestras acciones cotidianas. Solo quien entiende que todo está conectado puede actuar en armonía con la naturaleza."
Súmate al ON: Dona tu Uniforme
El Centro para la Formación Cafetera del SENA anuncia una significativa iniciativa de solidaridad impulsada por sus aprendices. Con un profundo sentido de comunidad y el firme compromiso de facilitar el acceso a la educación, los estudiantes que culminan sus programas de formación están invitando a sus compañeros a participar en la campaña "Súmate al ON: Dona tu Uniforme", y de esta manera puedan ENCENDER una oportunidad en un futuro nuevo aprendiz.
Esta noble causa tiene como objetivo brindar una valiosa oportunidad a aquellos aspirantes que puedan enfrentar dificultades económicas para adquirir su uniforme. Al donar estas prendas, que han sido parte fundamental de su proceso de aprendizaje, los egresados no solo cierran un ciclo, sino que también abren un camino lleno de posibilidades para otros jóvenes.
¿Cómo participar?
Al finalizar tu proceso de formación, lava cuidadosamente tu uniforme y llévalo a la oficina de Bienestar al Aprendiz. Tu sencillo acto de donación facilitará el camino educativo de un nuevo aprendiz.
¡El arte se toma el SENA! Inició el Semillero de Cine y Arte en el Centro para la Formación Cafetera
La creatividad tiene su espacio en el SENA. Comenzó el Semillero de Cine y Arte, un proyecto pensado para que los aprendices exploren sus talentos en actuación, dirección, música, baile, diseño, cámara y más.
Aquí no solo se aprende: se sueña, se crea en equipo y se vive el arte en escenarios únicos como La Granja y La Fauna, espacios que conectan con la naturaleza y la identidad local.Una oportunidad para crecer, divertirse y dejar volar la imaginación. ¡El cine está en marcha!
Si deseas participar acércate a Bienestar Al Aprendiz o diligencia este formulario: Formulario de inscripción semillero de Cine, Arte y Cultura
¡Un Milagro de Vida en el Centro para la Formación Cafetera del SENA!
El SENA celebra con alegría el nacimiento de Milagros, una ternera de raza Girolando que llegó al mundo con un mes de anticipación y ya tiene 3 días de nacida. Su nombre no es casualidad: su nacimiento es un verdadero milagro.
La historia de Milagros es un testimonio del compromiso y la experticia del equipo del Centro. Gracias a la rápida acción de los trabajadores de la Granja Los Cerezos del SENA, quienes detectaron a tiempo una posible complicación, se evitó el aborto de la vaca madre. Los veterinarios, con su profesionalismo, intervinieron para inducir el parto, permitiendo que Milagros naciera sana y salva.
La mamá de Milagros ya se encuentra en el proceso de ordeño mecánico, adaptándose a su nueva etapa. Mientras tanto, la pequeña Milagros ya ha recibido la visita de algunos aprendices del Centro, quienes han compartido la emoción de este nacimiento.
¡Bienvenida, Tesorito!
Con solo 1 mes y 10 días, esta hermosa ternerita Gyr pura con registro representa más que un logro genético: es el resultado del compromiso con la mejora de la lechería, la formación agropecuaria y el amor por el campo.
Tesorito nació gracias a la implantación de un embrión sexado producido por fertilización in vitro, como parte del proceso de renovación del hato bovino que se adelanta en el SENA. Este avance no solo fortalece la productividad, sino que también enriquece la formación práctica de nuestros aprendices.
En los próximos días nacerán cinco crías más como resultado de este mismo proceso, fruto de un ejercicio técnico y formativo que permite a los aprendices vivir experiencias reales en entornos rurales, fortaleciendo su vocación y sentido de pertenencia por el agro.
Convocatoria al Concurso de Fotografía"Visión Verde: La Tierra desde tu Celular"
¡Celebra el Día de la Tierra con nosotros!Invitamos a todos los aprendices del Centro para la Formación Cafetera a participar en el Concurso de fotografía "Visión Verde: La Tierra desde tu Celular", con motivo del Día de la Tierra.
Objetivo: El concurso tiene como objetivo capturar la belleza de la flora y fauna del SENA, específicamente en la sede Ciudadela Tecnológica Los Cerezos en La Enea, Manizales.
¿Cómo participar? Inscripción y envío de fotos- Desde el jueves 3 de abril hasta el martes 15 de abril de 2025, podrás inscribirte y subir tu foto al formulario.
- En el formulario deberás colocar tu información personal (nombre, ficha, jornada, documento de identidad, etc.) y adjuntar tu foto tomada con tu CELULAR (No se puede usar cámara profesional o semiprofesional).
- Cada foto debe tener un nombre creativo, relacionado con el Día de la Tierra o el tema que representas en la foto.
- Solo se aceptará una foto (1) por participante.
- La foto puede ser editada sólo en aspectos básicos como color, saturación e iluminación. No se permite modificar la imagen con inteligencia artificial, Photoshop, ni añadir elementos externos a la foto.
¿Qué tipo de fotos puedes enviar?Las fotos deben capturar la flora y fauna únicamente capturadas en las instalaciones del SENA en Manizales (en la sede Ciudadela Tecnológica Los Cerezos - Enea).
Fechas Importantes:- Inicio de Inscripción y envío de foto: Desde el Jueves 3 de abril hasta el martes 15 de abril de 2025.
- Publicación de todas las fotos para votación: Miércoles 16 de abril de 2025 (Se enviará un link con todas las fotos para votación popular, es decir, el que tenga más ´likes´. La votación cerrará el viernes 18 de abril de 2025.
- Anuncio de los Ganadores: Martes 22 de abril de 2025
Se premiarán los primeros tres lugares
Autorización de Derechos de Uso de ImágenesAl diligenciar este formulario, el aprendiz otorga al Centro para la Formación Cafetera del SENA, de manera gratuita y por tiempo indefinido, el derecho de uso, reproducción y distribución de las fotografías presentadas al concurso. Esta autorización incluye la posibilidad de utilizar las imágenes en materiales promocionales, informativos y cualquier otro medio relacionado con las actividades del SENA, sin necesidad de realizar pago adicional ni de solicitar permiso adicional. El aprendiz garantiza que las fotos presentadas son de su autoría y que no infringen derechos de terceros.
¡No pierdas la oportunidad de mostrar tu creatividad y tu amor por la Tierra!
¡Aprendices! Desde Bienestar al Aprendiz del Centro Para la Formación Cafetera, socializamos el Reporte N.º 1 de inscritos a la II Convocatoria de Apoyos de Sostenimiento Regular, con el fin de hacer seguimiento al proceso y garantizar una gestión transparente y oportuna de estos estímulos.
Clic aquí para acceder al reporte
Apertura II - 2025 Convocatoria de Apoyos de Sostenimiento Regular SENA
Nos complace anunciar la apertura de la II Convocatoria de Apoyos de Sostenimiento Regular, una oportunidad pensada para brindar respaldo económico a quienes más lo necesitan durante su proceso de formación.
Esta convocatoria está dirigida exclusivamente a aprendices de formación titulada en las modalidades virtual y presencial.
Importante: No aplica para programas de formación impartidos a través de FIC (Fondo de la Industria y la Construcción).
¡Aprovecha este beneficio que fortalece tu camino hacia el éxito profesional!
CLIC AQUÍ PARA ACCEDER A LA CONVOCATORIA
Algunos requisitos clave:
✔️ Estar matriculado en un programa de formación laboral o tecnológica.
✔️ Pertenecer a los estratos 1 o 2.
✔️ No tener contrato laboral, patrocinio ni prácticas que generen ingresos.
✔️ No haber sido beneficiario de este apoyo u otros como Jóvenes en Acción.
✔️ Estar en estado "En formación" en el sistema.
✔️ Inscribirse dentro de las fechas establecidas.
Recuerda: La información registrada debe ser veraz. Cualquier inconsistencia puede generar la exclusión del beneficio.
¿Cumples con los requisitos?
¡Te invitamos a profundizar en todos los detalles y criterios de priorización leyendo la circular completa!
El Centro para la Formación Cafetera celebra el cumplimiento de sueños de mujeres de la Vereda La Aurora
El Centro para la Formación Cafetera tuvo el honor de recibir a las aprendices del programa Auxiliar en Promoción de la Seguridad Alimentaria, provenientes de la Vereda La Aurora del municipio de Manizales.
Esta visita, realizada en la planta de Agroindustria, permitió a las participantes desarrollar sus prácticas de procesamiento de alimentos, profundizar sus conocimientos y fortalecer sus competencias.
Lo más inspirador de este encuentro es que muchas de estas aprendices, a pesar de su edad y de las dificultades que en el pasado les impidieron acceder a la educación formal, hoy están cumpliendo sus sueños de formarse y aportar al desarrollo de sus comunidades. "Gracias al compromiso del SENA y al esfuerzo de cada una de ellas, se demuestra que nunca es tarde para aprender, crecer y transformar vidas", afirmó Vanesa Cifuentes, profesional en Desarrollo Familiar de la Oficina de Bienestar al Aprendiz del CFC.
La profesional, añadió que desde el Centro para la Formación Cafetera "reiteramos nuestro orgullo y apoyo a todas las mujeres valientes que, con dedicación y entusiasmo, demuestran que la educación es una puerta abierta a nuevas oportunidades, sin importar la edad".
¡Felicitaciones por este gran logro y por ser ejemplo de superación y perseverancia para toda la región!
SENA CALDAS CELEBRA CON UNIDAD Y CULTURA EL DÍA DE LA AFROCOLOMBIANIDAD
En una jornada llena de color, identidad y memoria, los equipos de Cultura y Arte del SENA Caldas se unieron para conmemorar de manera conjunta el Día Nacional de la Afrocolombianidad, reafirmando el compromiso institucional con la diversidad, la inclusión y el reconocimiento de las raíces que enriquecen nuestra historia como país.
La celebración tuvo lugar de forma simultánea en los diferentes Centros de Formación del Sena en Manizales, donde aprendices, instructores y colaboradores participaron activamente en una agenda cultural diversa que permitió visibilizar el legado y la riqueza de las comunidades afrodescendientes en Colombia.
Entre las actividades destacadas se incluyeron:
Narrativa visual: "La historia de las trenzas" Una representación artística y pedagógica que dio a conocer el poderoso simbolismo de las trenzas en la historia de la población afrodescendiente, utilizadas en tiempos de esclavitud como forma de resistencia, comunicación y expresión cultural.
Muestras de baile folclórico afrocolombiano: Grupos de aprendices presentaron coreografías tradicionales del Pacífico colombiano, como la danza del currulao y otros ritmos autóctonos, resaltando la fuerza, el ritmo y la identidad del pueblo afrocolombiano.
Pintura facial y símbolos de resistencia: Los aprendices participaron en actividades de pintura facial con diseños que representan los símbolos ancestrales y espirituales de las comunidades afro, generando un espacio de reflexión sobre el orgullo étnico y la conexión con la herencia africana.
Esta conmemoración fue una oportunidad para educar, sensibilizar y construir una formación más consciente e inclusiva, donde se reconozcan los aportes de las comunidades afro a la construcción del país.
Desde el SENA Caldas seguimos promoviendo espacios donde el arte, la cultura y el respeto por la diferencia sean parte fundamental del proceso formativo, en coherencia con nuestro modelo pedagógico integral y nuestro compromiso con un enfoque pluralista y diferencial.
Desde el programa de bilingüismo del Centro para la Formación Cafetera del SENA, Regional Caldas, se invita a aprendices, administrativos e instructores al curso de Japonés 2025, los jueves de 2:00 p.m. a 3:30 p.m. a partir del 5 de junio.
Para inscribirse, por favor vean el video informativo y completen el formulario:
Video informativo
Formulario de inscripción
El Centro para la Formación Cafetera del SENA Caldas fortalece su cultura ambiental mediante la instalación de puntos ecológicos estratégicos en todas sus instalaciones. Esta iniciativa busca promover el reciclaje responsable entre los aprendices y toda la comunidad educativa.
Los puntos ecológicos incluyen:
Botella de reciclaje:
- Tapa de la botella: Recolecta las tapas plásticas.
- Cuerpo de la botella: Recibe las botellas plásticas a través del agujero.
- Caneca blanca - Residuos Aprovechables: Destinada para materiales que pueden ser reciclados como: Plástico, vidrio, metales, cartón, papel periódico
- Caneca negra - Residuos No Aprovechables: Para materiales que no se pueden reciclar, tales como: papel higiénico, servilletas usadas, papeles y cartones contaminados con comida, papeles metalizados.
Estas canecas están distribuidas en todo el Centro para facilitar su correcto uso.
El Centro invita a todos los aprendices a participar activamente en este esfuerzo, reconociendo que pequeñas acciones diarias pueden generar grandes cambios a favor del planeta.
Con solo 1 mes y 10 días, esta hermosa ternerita Gyr pura con registro representa más que un logro genético: es el resultado del compromiso con la mejora de la lechería, la formación agropecuaria y el amor por el campo.
Tesorito nació gracias a la implantación de un embrión sexado producido por fertilización in vitro, como parte del proceso de renovación del hato bovino que se adelanta en el SENA. Este avance no solo fortalece la productividad, sino que también enriquece la formación práctica de nuestros aprendices.
En los próximos días nacerán cinco crías más como resultado de este mismo proceso, fruto de un ejercicio técnico y formativo que permite a los aprendices vivir experiencias reales en entornos rurales, fortaleciendo su vocación y sentido de pertenencia por el agro.
- Desde el jueves 3 de abril hasta el martes 15 de abril de 2025, podrás inscribirte y subir tu foto al formulario.
- En el formulario deberás colocar tu información personal (nombre, ficha, jornada, documento de identidad, etc.) y adjuntar tu foto tomada con tu CELULAR (No se puede usar cámara profesional o semiprofesional).
- Cada foto debe tener un nombre creativo, relacionado con el Día de la Tierra o el tema que representas en la foto.
- Solo se aceptará una foto (1) por participante.
- La foto puede ser editada sólo en aspectos básicos como color, saturación e iluminación. No se permite modificar la imagen con inteligencia artificial, Photoshop, ni añadir elementos externos a la foto.
- Inicio de Inscripción y envío de foto: Desde el Jueves 3 de abril hasta el martes 15 de abril de 2025.
- Publicación de todas las fotos para votación: Miércoles 16 de abril de 2025 (Se enviará un link con todas las fotos para votación popular, es decir, el que tenga más ´likes´. La votación cerrará el viernes 18 de abril de 2025.
- Anuncio de los Ganadores: Martes 22 de abril de 2025
Resultados primera convocatoria de Apoyo de Sostenimiento Regular
El Centro para la Formación Cafetera del Servicio Nacional de Aprendizaje (SENA) da a conocer el reporte final de priorización y los nombres de los aprendices seleccionados en la primera convocatoria de Apoyo de Sostenimiento Regular. Este programa ha sido un éxito gracias a la activa participación de los aprendices, quienes se han mostrado comprometidos con su formación profesional.
El SENA agradece profundamente el entusiasmo y la dedicación de todos los participantes. Además, se informa que la segunda convocatoria de este apoyo se abrirá en agosto, brindando nuevas oportunidades para quienes aún no fueron seleccionados.
Felicitamos a los aprendices seleccionados, quienes recibirán este apoyo como parte de su proceso formativo. El SENA continúa comprometido con el bienestar de los aprendices, impulsando su desarrollo académico y profesional.
¡Felicitaciones a los seleccionados y mucha suerte a todos en la próxima convocatoria!
SENA abre convocatoria para voceros de inclusión y equidad en el Centro para la Formación Cafetera
Si eres aprendiz del SENA del Centro para la Formación Cafetera, esta es tu oportunidad de representar y liderar iniciativas en favor de la diversidad, la inclusión y la equidad. Postúlate como vocero/a de enfoque diferencial en alguna de las siguientes categorías: • NARP (Negros, Afrocolombianos, Raizales y Palenqueros)
• LGBTIQ+
• Campesino
• Aprendiz con discapacidad
• Mujer
Como vocero/a, podrás impulsar cambios positivos, fortalecer la representación de tu comunidad y contribuir a un ambiente más inclusivo en nuestro centro de formación.
¡Inscríbete ahora llenando el formulario online! No pierdas la oportunidad de ser parte del cambio. ¡Te necesitamos!
28 de marzo: Último Plazo para Reclamaciones sobre la Convocatoria de Apoyo de Sostenimiento Regular
En atención a la convocatoria de apoyo de sostenimiento regular, nos permitimos enviar el segundo reporte de los resultados con las correcciones correspondientes.
Les recordamos que el último plazo para presentar reclamaciones será hasta el día 28 de marzo a las 2:00 p.m.. Las reclamaciones únicamente serán recibidas a través de correo electrónico.
Les solicitamos que revisen cuidadosamente los resultados y, en caso de ser necesario, envíen sus solicitudes de reclamación dentro del plazo establecido.
No se recibirán reclamaciones fuera del tiempo estipulado. Agradecemos su atención y colaboración.
Publicación de resultados de la primera fase de Apoyos de Sostenimiento Regular
El SENA informa a sus aprendices que ya se encuentran disponibles los resultados de la primera fase de calificación y priorización de la convocatoria Apoyos de Sostenimiento Regular.
Los interesados pueden consultar el listado a través del siguiente enlace:
🔗 Resultados de la convocatoria
(Si no puede ingresar dé clic aquí)
Se recomienda a los aprendices revisar detenidamente la información publicada. En caso de tener alguna observación, podrán presentar su reclamación de manera formal a través del correo apoyos.socioeconomicoscfc@gmail.com.
El plazo para presentar reclamaciones estará abierto hasta el día 28 de marzo, por lo que se invita a los interesados a realizar el proceso dentro del tiempo establecido.
Para más información, los aprendices pueden comunicarse con el área de Bienestar al Aprendiz del Centro Para la Formación Cafetera.
Día de la Felicidad
Celebramos la alegría como motor de bienestar y salud mental. Nuestros aprendices reconocieron la importancia de la felicidad a través de juegos pedagógicos, abrazos gratis y momentos de diversión que nos recordaron que el bienestar empieza con una sonrisa.
¡Seguimos construyendo un entorno positivo y lleno de energía!
Te brindamos un acompañamiento integral
El SENA agradece profundamente el entusiasmo y la dedicación de todos los participantes. Además, se informa que la segunda convocatoria de este apoyo se abrirá en agosto, brindando nuevas oportunidades para quienes aún no fueron seleccionados.
Felicitamos a los aprendices seleccionados, quienes recibirán este apoyo como parte de su proceso formativo. El SENA continúa comprometido con el bienestar de los aprendices, impulsando su desarrollo académico y profesional.
¡Felicitaciones a los seleccionados y mucha suerte a todos en la próxima convocatoria!
SENA abre convocatoria para voceros de inclusión y equidad en el Centro para la Formación Cafetera
• NARP (Negros, Afrocolombianos, Raizales y Palenqueros)
• LGBTIQ+
• Campesino
• Aprendiz con discapacidad
• Mujer
Como vocero/a, podrás impulsar cambios positivos, fortalecer la representación de tu comunidad y contribuir a un ambiente más inclusivo en nuestro centro de formación.
¡Inscríbete ahora llenando el formulario online! No pierdas la oportunidad de ser parte del cambio. ¡Te necesitamos!
28 de marzo: Último Plazo para Reclamaciones sobre la Convocatoria de Apoyo de Sostenimiento Regular
En atención a la convocatoria de apoyo de sostenimiento regular, nos permitimos enviar el segundo reporte de los resultados con las correcciones correspondientes.
Les recordamos que el último plazo para presentar reclamaciones será hasta el día 28 de marzo a las 2:00 p.m.. Las reclamaciones únicamente serán recibidas a través de correo electrónico.
Les solicitamos que revisen cuidadosamente los resultados y, en caso de ser necesario, envíen sus solicitudes de reclamación dentro del plazo establecido.
No se recibirán reclamaciones fuera del tiempo estipulado. Agradecemos su atención y colaboración.
Publicación de resultados de la primera fase de Apoyos de Sostenimiento Regular
El SENA informa a sus aprendices que ya se encuentran disponibles los resultados de la primera fase de calificación y priorización de la convocatoria Apoyos de Sostenimiento Regular.
Los interesados pueden consultar el listado a través del siguiente enlace:
🔗 Resultados de la convocatoria
(Si no puede ingresar dé clic aquí)
Se recomienda a los aprendices revisar detenidamente la información publicada. En caso de tener alguna observación, podrán presentar su reclamación de manera formal a través del correo apoyos.socioeconomicoscfc@gmail.com.
El plazo para presentar reclamaciones estará abierto hasta el día 28 de marzo, por lo que se invita a los interesados a realizar el proceso dentro del tiempo establecido.
Para más información, los aprendices pueden comunicarse con el área de Bienestar al Aprendiz del Centro Para la Formación Cafetera.
Celebramos la alegría como motor de bienestar y salud mental. Nuestros aprendices reconocieron la importancia de la felicidad a través de juegos pedagógicos, abrazos gratis y momentos de diversión que nos recordaron que el bienestar empieza con una sonrisa.
¡Seguimos construyendo un entorno positivo y lleno de energía!
Marzo, un mes para conmemorar la fuerza femenina
En cada idea, en cada aprendizaje y en cada paso hacia el futuro, las mujeres dejan huella. En este mes especial, reconocemos su dedicación, su pasión y su incansable búsqueda de crecimiento.
Hoy, un recordatorio de su capacidad para liderar, crear y cambiar el mundo.
Modificaciones en el calendario de la convocatoria de apoyos de sostenimiento regular
10 de marzo de 2025
Se informa a todos los aprendices que se han realizado modificaciones en el calendario de la convocatoria de apoyos de sostenimiento regular. Para conocer los nuevos plazos y detalles, se ha compartido la circular correspondiente con la información actualizada.
Se recomienda a los interesados revisar la circular y estar atentos a los nuevos tiempos establecidos para evitar inconvenientes en el proceso.
El SENA Caldas abre las puertas a la segunda oferta presencial 2025 en varios municipios de Caldas.
Esta es una excelente oportunidad para todos aquellos interesados en tecnologías, técnicos, operarios y auxiliares en diversas áreas.
¡No te pierdas esta oportunidad de formar parte de los programas que el SENA tiene para ti!
Inscripciones Abiertas
Para conocer la oferta educativa y realizar tu inscripción, puedes ingresar al portal oficial www.senasofiaplus.edu.co . También, para hacer el proceso más fácil, escanea el código QR que encontrarás en los materiales informativos.
¡No dejes pasar esta gran oportunidad!
Las inscripciones estarán abiertas del 11 al 13 de marzo, así que asegúrese de no dejar pasar este plazo.
Para conocer los requisitos y aplicar, te invitamos a consultar las opciones disponibles.
¡Conéctate y conoce más sobre cómo postularte y qué programas puedes elegir!
Solidaridad en acción: Ayuda a familia de aprendices afectados por incendio
El pasado 15 de febrero, dos de nuestros queridos aprendices, quienes forman parte de la comunidad del Centro para la Formación Cafetera, vivieron una tragedia devastadora al perder su hogar debido a un incendio en el Barrio Marmato. Esta familia, integrada por un padre, una madre y su hijo de tan solo 3 años, se encuentra ahora enfrentando una situación extremadamente difícil y necesita de nuestra ayuda.
Desde el Área de Bienestar al Aprendiz, hacemos un llamado a la solidaridad de todos para que, unidos, podamos brindarle el apoyo necesario en este momento de adversidad. Para ello, hemos lanzado la campaña "Un Regalo de Esperanza", que busca recolectar donaciones que les permitan reconstruir sus vidas y superar esta tragedia.¿Cómo puedes ayudar?
Te invitamos a participar en esta campaña de donación, que acepta los siguientes artículos:
- Cobijas
- Elementos de aseo personal
- Alimentos que no se perciben
- Elementos para la vivienda
- Ropa (para los tres miembros de la familia)
- Mamá: Pantalón 10, Blusa S, zapatos 36.- Papá: Pantalón 32, camisa M, zapatos 40.- Niño: Pantalón 6, camisa 6, zapatos 26.¿Dónde puedes hacer tus donaciones?Las donaciones podrán ser entregadas en la Oficina de Bienestar al Aprendiz del Centro para la Formación Cafetera. Además, para facilitar la contribución, también hemos habilitado la opción de donación por Nequi. Puedes realizar tu aporte a la cuenta 324-409-7404, a nombre de Diana Marcela López.
Juntos, podemos hacer la diferencia y devolverles la esperanza a esta familia en un momento tan difícil.Agradecemos profundamente tu colaboración y solidaridad en esta causa tan importante.
Para más información, no dudes en contactarnos a través de nuestra oficina o por los canales de comunicación del Centro para la Formación Cafetera.
Atentamente,
Área de Bienestar al AprendizCentro para la Formación Cafetera del SENA
Solidaridad en acción: Ayuda a familia de aprendices afectados por incendio
¿Cómo puedes ayudar?
Te invitamos a participar en esta campaña de donación, que acepta los siguientes artículos:
- Cobijas
- Elementos de aseo personal
- Alimentos que no se perciben
- Elementos para la vivienda
- Ropa (para los tres miembros de la familia)
Convocatoria Monitorias 1er semestre 2025
El Centro para la Formación Cafetera del SENA Caldas, en cumplimiento de las Resoluciones 2212 de 2008, 176 de 2013 y 1234 de 2013, lanza la convocatoria para la asignación de monitorias correspondientes al primer semestre de 2025, con el objetivo de reconocer el esfuerzo y desempeño de los aprendices en su proceso de formación integral.
A través de esta convocatoria, se ofrecen diversos monitorias en áreas clave como Ambiental, Almacén, Unidades Productivas Agrícolas, Escuela Nacional de la Calidad del Café, Administración Educativa, Seguridad y Salud en el Trabajo, Ganadería Sostenible y Bienestar al Aprendiz. Estas oportunidades están diseñadas para estudiantes que deseen fortalecer su formación práctica y académica, al tiempo que contribuyen activamente a la comunidad educativa del SENA.
Los interesados deben cumplir con los requisitos establecidos, tales como estar matriculados en programas de formación de los niveles técnico profesional o tecnólogo, no tener medidas formativas ni faltas académicas, y contar con una antigüedad mínima de tres meses como aprendices. Las inscripciones estarán abiertas desde el 3 de marzo hasta el 14 de marzo de 2025, y los seleccionados comenzarán sus actividades como monitores el 1 de abril de 2025.
La información detallada sobre el proceso de inscripción, los requisitos específicos y las áreas de las monitorias está disponible en la circular adjunta. Para resolver cualquier duda, los aprendices pueden acercarse a la Oficina de Bienestar al Aprendiz del Centro para la Formación Cafetera.
CONSTRUCCIÓN COLECTIVA
Los voceros, suplentes, representantes, equipo directivo y equipo de Bienestar al Aprendiz del CFC, llevaron a cabo una jornada de trabajo en equipo para la proyección del Plan de Acción de Bienestar al Aprendiz para la vigencia 2024.
Con el propósito de construir un plan pensado desde el beneficio de los aprendices, se socializó el compendio de las actividades realizadas durante 2024, de las cuales los chicos hicieron buenos comentarios, además propusieron nuevas estrategias que fortalecerán la labor y propósito de este componente: la permanencia y la certificación de los aprendices.
También hubo momentos de diversión y entretenimiento, pues estos chicos, que se destacan por su capacidad de liderazgo, disfrutaron de una deliciosa alimentación, recreación y piscina.
"Este es un espacio de ustedes y para ustedes, cuídenlo, disfrútenlo y aprovéchenlo"Carlos Alberto Ospina Rivera, Subdirector Centro para La Formación Cafetera.
______________________________________________
¡OTRO LOGRO DE NUESTRO CENTRO!
_______________________________________________________________________
CFC LIDERAZGO
Durante la mañana del pasado lunes 18 de noviembre tuvo lugar el encuentro de voceros, suplentes, representantes, equipo y directivo y equipo de Bienestar al aprendiz de nuestro Centro para la Formación Cafetera en el Escuela Nacional de la Calidad del Café.
En este espacio, los aprendices líderes tuvieron la oportunidad de conversas sobre temas de interés para toda la comunidad educativa, como el relacionamiento con otros centros.
_____________________________________________________________
_____________________________________________________________
CAMPERRETO 2024
El Centro para la Formación Cafetera del SENA Caldas, en cumplimiento de las Resoluciones 2212 de 2008, 176 de 2013 y 1234 de 2013, lanza la convocatoria para la asignación de monitorias correspondientes al primer semestre de 2025, con el objetivo de reconocer el esfuerzo y desempeño de los aprendices en su proceso de formación integral.
A través de esta convocatoria, se ofrecen diversos monitorias en áreas clave como Ambiental, Almacén, Unidades Productivas Agrícolas, Escuela Nacional de la Calidad del Café, Administración Educativa, Seguridad y Salud en el Trabajo, Ganadería Sostenible y Bienestar al Aprendiz. Estas oportunidades están diseñadas para estudiantes que deseen fortalecer su formación práctica y académica, al tiempo que contribuyen activamente a la comunidad educativa del SENA.
Los interesados deben cumplir con los requisitos establecidos, tales como estar matriculados en programas de formación de los niveles técnico profesional o tecnólogo, no tener medidas formativas ni faltas académicas, y contar con una antigüedad mínima de tres meses como aprendices. Las inscripciones estarán abiertas desde el 3 de marzo hasta el 14 de marzo de 2025, y los seleccionados comenzarán sus actividades como monitores el 1 de abril de 2025.
La información detallada sobre el proceso de inscripción, los requisitos específicos y las áreas de las monitorias está disponible en la circular adjunta. Para resolver cualquier duda, los aprendices pueden acercarse a la Oficina de Bienestar al Aprendiz del Centro para la Formación Cafetera.
Durante la primer semana de noviembre tuvo lugar CAMPERRETO 2024, en el que los aprendices del programa de articulación de la media del Centro para la Formación Cafetera y la Institución Educativa Naranjal, de Chinchiná; pusieron a prueba los conocimientos adquiridos en el programa de Agroindustria Alimentaria mediante la implementación de talleres y actividades formativas que promuevan la innovación y el emprendimiento en el sector.
Las principales actividades fueron el trabajo con derivados lácteos, el procesamiento de frutas y la producción de café. Estas permitieron la elaboración de productos como duraznos en almíbar, yogures, kumis, quesos dulces y bebidas a base de café, entre otros.
Celebramos esta fecha tan especial con show de barismo y feria de emprendimientos.
24 Aprendices se graduaron en el Centro para la Formación Cafetera
Un total de 24 aprendices del Centro para la Formación Cafetera culminaron con éxito sus estudios y se graduaron como tecnólogos en diversas áreas clave para el desarrollo del campo colombiano.
Los nuevos tecnólogos obtuvieron su título en Procesamiento de Alimentos, Producción Ganadera y Producción Agrícola Ecológica, disciplinas que apuntan a fortalecer la cadena de valor en el sector rural.
También hicieron parte de la ceremonia, representantes de la Agencia Pública de Empleo APE, y del Programa de Egresados para entregar información relacionada a los graduados.
Estas graduaciones representan un paso significativo para la región cafetera, que busca impulsar prácticas más sostenibles y eficientes en la producción de alimentos, ganadería y agricultura. El centro de formación sigue consolidándose como un referente en la capacitación de talento que contribuirá al desarrollo rural de la zona.
Los 24 graduados se preparan ahora para llevar sus conocimientos y habilidades al campo, con el objetivo de generar un impacto positivo en la producción local, la sostenibilidad y la calidad de vida de las comunidades rurales.
________________________________________________
_____________________________________
________________________________________________
______________________________________
Resolución N° 17 - 01330 de 2024
Adjudicación de apoyos de sostenimiento II 2024
__________________________________
________________________________________________________________________
Acta Nº12
Reporte de aprendices inscritos a la segunda convocatoria de sostenimiento regular
del Centro Para la Formación Cafetera
___________________________________
Acta Nº11
Reporte de aprendices inscritos a la segunda convocatoria de sostenimiento regular
del Centro Para la Formación Cafetera
_____________________________________________________________________
Acta Nº10
Reporte de aprendices inscritos a la segunda convocatoria de sostenimiento regular
del Centro Para la Formación Cafetera
_____________________________________________________________________
Conoce la Convocatoria de Contrato de Aprendizaje dirigida a aprendices que estén actualmente en etapa lectiva y que al mes de febrero del 2025 la estén culminando, con el fin de ser patrocinados desde noviembre hasta febrero que inicien su etapa productiva en el Centro para la Formación Cafetera.
Recuerda revisar programas de formación requeridos, requisitos y fechas de postulación:
_________________________________________________________________________
La danza fue protagonista en
nuestro encuentro cultural
Este martes 3 de septiembre se realizó en el Auditorio Milton Gaviria la eliminatoria regional del Festival Cultural de Poder SENA, en el cual aprendices de todos los centros de formación de la Regional Caldas en las categorías de:
✅ Teatro ✅ Cuentería ✅ Fotografía ✅ Filminuto ✅ Música ✅ Danza
Incluso aprendices del Centro Pecuario y Agroempresarial, de La Dorada, llegaron a la sede Maltería, para participar de este encuentro, del que saldrán las representaciones artísticas de nuestra regional en la Cumbre de Representantes del próximo 21 de septiembre en Mosquera, Cundinamarca.
El grupo de danza, liderado por el profesional de cultural del Centro para la Formación Cafetera, ganó en su categoría y viajará a Mosquera.
_______________________________________________________________________________
Acta Nº9
Reporte de aprendices inscritos a la segunda convocatoria de sostenimiento regular
del Centro Para la Formación Cafetera
___________________________________________________________________________________
Acta Nº8
Reporte de aprendices inscritos a la segunda convocatoria de sostenimiento regular
del Centro Para la Formación Cafetera
___________________________________________________________________________________
Acta Nº7
Reporte de aprendices inscritos a la segunda convocatoria de sostenimiento regular
del Centro Para la Formación Cafetera
___________________________________________________________________________________
Acta Nº6
Reporte de aprendices inscritos a la segunda convocatoria de sostenimiento regular
del Centro Para la Formación Cafetera
___________________________________________________________________________________
Acta Nº5
Reporte de aprendices inscritos a la segunda convocatoria de sostenimiento regular
del Centro Para la Formación Cafetera
___________________________________________________________________________________
Acta Nº4
Reporte de aprendices inscritos a la segunda convocatoria de sostenimiento regular
del Centro Para la Formación Cafetera
___________________________________________________________________________________
Acta Nº3
Reporte de aprendices inscritos a la segunda convocatoria de sostenimiento regular
del Centro Para la Formación Cafetera
Acta Nº2
Reporte de aprendices inscritos a la segunda convocatoria de sostenimiento regular
del Centro Para la Formación Cafetera
Acta Nº1
Reporte de aprendices inscritos a la segunda convocatoria de sostenimiento regular
del Centro Para la Formación Cafetera
___________________________________________________________________________________
Convocatoria II - CFC 2024
Apoyos de sostenimiento regular
___________________________________________________________________________________
Ratificación aprendices adjudicados como beneficiarios de II convocatoria de apoyos de alimentación
CFC 2024
___________________________________________________________________________________
Aprendices adjudicados como beneficiarios
de II convocatoria de apoyos de alimentación
CFC 2024

___________________________________________________________________________________
Aprendices adjudicados como beneficiarios
de sostenimiento regular
CFC 2024
___________________________________________________________________________________
Resolución 17-00823 de 2024
Adjudicación de monitores CFC
Julio a noviembre de 2024
___________________________________________________________________________________
¡GRITO DE INDEPENDENCIA!
Conmemoramos El 20 de Julio
Hoy conmemoramos El 20 de Julio, Día de la Independencia de Colombia y nuestros aprendices disfrutaron de:
✅ Story Time de la Independencia
✅ Muestra cultural
✅ Clase magistral de baile típico
✅ Ganador del concurso Colombia en Imágenes 📸
___________________________________________________________________________________
Convocatoria Nº2 apoyos de alimentación
CFC 2024
Conoce los resultados del proceso de
adjudicación de aprendices monitores en el
Centro para la Formación Cafetera.
Julio - diciembre de 2024
___________________________________________________________________________________
¡Qué QUILOMBO!
Conmemoramos la Afrocolombianidad
De la manera más divertida y con la participación de nuestros aprendices, jugamos, aprendimos, bailamos y hasta nos pintamos la cara, con el propósito de fortalecer nuestros principios orientadores, en especial la inclusión, la equidad, la igualdad y la diferencia.
Y a propósito de la conmemoración de la Afrocolombianidad, resaltamos la importancia de la herencia cultural, artística y lingüística africana en la sociedad colombiana.
El día nacional de la afrocolombianidad se conmemora anualmente desde el 21 de mayo de 2002. Este año se hace homenaje a los 163 años de la abolición de la esclavitud en Colombia.
___________________________________________________________________________________
___________________________________________________________________________________
Conoce el reporte de de la convocatoria 1 - 2024 Apoyos de alimentación del Centro para La Formación Cafetera | Acta Nº 2
Conoce el reporte de de la convocatoria 1 - 2024 Apoyos de alimentación del Centro para La Formación Cafetera | Acta Nº 1
DÍA MUNDIAL DE LA SALUD
CIERRE DE NAVIDAD
ENCUENTRO DE VOCEROS, SUPLENTES Y EQUIPO DE BIENESTAR 2023
SEMANA DE ATENCIÓN CON ENFOQUE PLURALISTA Y DIFERENCIAL
SEGUNDA FERIA DE UNIVERSIDADES 2023
GRAN FERIA DE EMPRENDIMIENTO
MUY PRONTO...
TORNEO INTERCENTROS
En el marco de la celebración de los juegos Intercentros
en la modalidad de Fútbol 7,
*CAFETERA* se corona campeón del torneo.
CONVOCATORIA DE APOYOS DE SOSTENIMIENTO REGULAR- FASE II VIGENCIA 2023
ACTA N°1
CONVOCATORIA DE APOYOS DE SOSTENIMIENTO REGULAR- FASE II VIGENCIA 2023
ACTA N°2
CONVOCATORIA DE APOYOS DE SOSTENIMIENTO REGULAR- FASE II VIGENCIA 2023
ACTA N°3
REPORTE FINAL DE APRENDICES INSCRITOS DE APOYOS DE SOSTENIMIENTO REGULAR CONVOCATORIA N 1 FASE II
DÍA INTERNACIONAL DEL CAFÉ
CONMEMORACIÓN DE LOS PUEBLOS INDIGENAS
TALLER DE MURALISMO
El bienestar y el aprendizaje se han convertido en pilares fundamentales para alcanzar el éxito y la felicidad en nuestras vidas. Este espacio ha sido creado con la firme convicción de que el equilibrio entre el bienestar personal y el proceso continuo de aprendizaje es esencial para desarrollarnos de manera integral y alcanzar nuestro potencial máximo.
El bienestar y el aprendizaje se han convertido en pilares fundamentales para alcanzar el éxito y la felicidad en nuestras vidas. Este espacio ha sido creado con la firme convicción de que el equilibrio entre el bienestar personal y el proceso continuo de aprendizaje es esencial para desarrollarnos de manera integral y alcanzar nuestro potencial máximo.
El bienestar y el aprendizaje se han convertido en pilares fundamentales para alcanzar el éxito y la felicidad en nuestras vidas. Este espacio ha sido creado con la firme convicción de que el equilibrio entre el bienestar personal y el proceso continuo de aprendizaje es esencial para desarrollarnos de manera integral y alcanzar nuestro potencial máximo.
El bienestar y el aprendizaje se han convertido en pilares fundamentales para alcanzar el éxito y la felicidad en nuestras vidas. Este espacio ha sido creado con la firme convicción de que el equilibrio entre el bienestar personal y el proceso continuo de aprendizaje es esencial para desarrollarnos de manera integral y alcanzar nuestro potencial máximo.
Nuestra misión es brindarte herramientas prácticas, conocimientos profundos y perspectivas inspiradoras que te empoderen para transformar tu vida de manera positiva.
Exploraremos una variedad de temas, desde estrategias prácticas para gestionar el estrés y mantener la concentración, hasta consejos para fomentar la creatividad y la motivación. Aprenderemos a cultivar hábitos saludables que nutran tanto nuestras mentes como nuestros cuerpos, permitiéndonos alcanzar nuestro máximo potencial de manera sostenible y saludable.
Juntos, exploraremos cómo el bienestar emocional, mental y físico puede influir en nuestra capacidad para asimilar nueva información, superar obstáculos y abrazar el aprendizaje como un camino hacia el crecimiento integral.
Prepárate para descubrir esta nueva herramienta. Juntos, crearemos un espacio en el que el aprendizaje se convierte en una fuente de empoderamiento y realización personal.
Acompáñanos, nuestro objetivo es ser tu fuente confiable de información y motivación, para ustedes.
Nuestra misión es brindarte herramientas prácticas, conocimientos profundos y perspectivas inspiradoras que te empoderen para transformar tu vida de manera positiva.
Aprenderemos a cultivar hábitos saludables que nutran tanto nuestras mentes como nuestros cuerpos, permitiéndonos alcanzar nuestro máximo potencial de manera sostenible y saludable.
Primer Puesto Concurso de Antifaces de Halloween Formación Virtual
Lindsay Ingrith Araque Balaguera Tecnología en Negociación Internacional Felicitaciones 👏
Evento Día de Halloween Formación Presencial
Premiación Concurso de Antifaces Formación Virtual
Notificación de Adjudicación de Apoyo de Sostenimiento III Convocatoria
Reporte de calificación y priorización de los aprendices inscritos a la III convocatoria de apoyo de sostenimiento Regular
Del 7 al 13 de septiembre se dará inicio a la etapa de Calificación y Priorización de los aprendices a través de SOFIA PLUS.
Entérate
Conoce la Oferta Educativa que el Sena tiene para tí ¡Inscríbete!
#EstudiaEnElSENA, inscripciones hasta el 5 de agosto a través de www.senasofiaplus.edu.co 🟢Conoce en este enlace toda la oferta en Caldas👉https://bit.ly/3febXQ7
CONVOCATORIA MONITORIAS SENNOVA
El Centro para la Formación Cafetera abre la Convocatoria para vincular dos (2) aprendices mediante monitorias con SENNOVA como apoyo a los proyectos: “Desarrollo de Bioproductos (biocarbón, pectina, jabón) a partir de cáscaras de Mazorca de Cacao (Theobroma cacao) generadas como desecho de la transformación agroindustrial” y “Obtención de cafés diferenciados mediante la optimización de procesos fermentativos y de secado del grano”.
Requisitos:
- Estar matriculado en los programas de Formación Titulada de nivel Tecnólogo, afines a los proyectos: “Desarrollo de Bioproductos (biocarbón, pectina, jabón) a partir de cáscaras de Mazorca de Cacao (Theobroma cacao) generadas como desecho de la transformación agroindustrial” y “Obtención de cafés diferenciados mediante la optimización de procesos fermentativos y de secado del grano”.
- Vinculación activa a un semillero de investigación del Centro para la Formación Cafetera.
- Tener disponibilidad de tiempo.
Inscripción:
- A través del enlace: https://forms.gle/vFHZEpaGbexjStP49
- Fecha límite de inscripción: 6 de agosto de 2021
Duración de las monitorias:
Del 1 de septiembre al 30 de noviembre de 2021
Sena Digital
La iniciativa que fortalecerá las habilidades digitales de los colombianos para multiplicar sus oportunidades laborales. entérate de más aquí 👇
Productos Disponible Punto de Venta Centro para la Formación Cafetera
¡El Ministerio de TIC llevará servicios de voz y datos móviles a estudiantes de instituciones oficiales!
Navega TIC es un proyecto que llevará servicios de voz y datos móviles a más de 310.0000 estudiantes de colegios oficiales de los grados 9, 10 y 11, de universidades públicas y del SENA, ubicados en 790 municipios de los 32 departamentos del país. Beneficios del plan: • 15 GB de navegación con tecnología 4G LTE • Minutos ilimitados a nivel nacional • WhatsApp ilimitado sin videollamadas • Acceso a 21 URL o páginas que no consumen datos • Vigencia: hasta el 31 de julio de 2022 Para participar los aspirantes deberán cumplir con los siguientes requisitos • Ser estudiante de los grados 9, 10 y 11 de una Institución Educativa Publica; estudiante de Universidad Pública o SENA (para estos dos últimos grupos, al estudiante le deberán restar, como mínimo, trece (13) meses para finalizar el programa al que están matriculados) que pertenezcan a alguno de los 776 municipios del listado adjunto. • Pertenecer a estratos 1 y 2: El beneficiario deberá acreditar que pertenece a estratos 1 o 2. La verificación de este requisito de elegibilidad para los posibles beneficiarios del proyecto serán acreditada con copia de un recibo de servicios públicos, tratándose de estratos 1 o 2, o en su defecto se aceptará una constancia de la autoridad territorial en la que se indique que el predio del usuario se ubica en estrato 1 o 2. • Tener un dispositivo móvil con capacidad para navegar en internet 4G LTE. (El operador adjudicatario verificará las bandas y frecuencias del dispositivo móvil con el que cuenta el posible beneficiario, para garantizar la funcionalidad del dispositivo en su red) • No contar con un servicio de internet fijo ni móvil, postpago.
Si crees que cumples con esos requisitos y quieres hacer parte de la base de datos de potenciales beneficiarios del proyecto, te invitamos a diligenciar el siguiente formulario que estará habilitado hasta el 30 de julio de 2021:
NOTA UNO: Si el beneficiario es un menor de edad, el formulario deberá ser completado por su padre, acudiente o representante legal. En todo caso, al momento de la entrega del beneficio, se deberá adjuntar copia de documento de identidad del beneficiario y, en caso de ser menor de edad, copia del documento de identidad del padre, acudiente o representante legal y, documento de identidad del menor y su registro civil.
NOTA DOS: La verificación de los requisitos de elegibilidad para ser beneficiario del proyecto será realizada por el operador en campo al momento de validar los datos registrados en el formulario y posteriormente al hacer la entrega.
Feliz Día del Hombre
Convocatoria contrato de aprendizaje Día Internacional de la Mujer
Audiencia Pública de Rendición de Cuentas
Convocatoria Programas de Formación 2021
Aprendices en Etapa Práctica podrán Regresar al Centro a partir del 16 de noviembreConvocatoria Contrato de aprendizaje
Primer puesto concurso de Fotografíaaprendiz perteneciente al grupo de formación Tecnólogo en Negociación Internacional Primer Puesto Concurso de Fotografía
VentaneanDog: Fotografía capturada en el municipio de Riosucio-Caldas. Este perrito es la mascota de una señora de avanzada edad. Cuando la señora sale a comprar cualquier cosita a la tienda, su mascota está siempre alerta, demostrando que estos animalitos se preocupan mucho por nuestro bienestar.
Segundo Puesto Concurso de Fotografía
Profundidad.
La amplitud de la vida, tan efímera ante aquellos que disfrutan cada día sin cohibirse de nada o tan extensa para quienes ven solo rutina y desgaste sin ningún propósito más que envejecer o en su defecto morir. El arte de admirar el azul del cielo o el verde de los árboles lo poseen seres sensibles, libres, con espíritus aventureros y con almas nobles. Por ello, se debe intentar ver más allá de lo obvio, usando la imaginación como aliada para lo que no es visible. Pretendo mostrar lo bonito de la vida mediante una variedad de colores que invitan a disfrutar plenamente cada instante en la tierra, esta tierra llena de cultura y paisajes hermosos, donde el balance entre la naturaleza y el hombre se hace totalmente posible.
Laguna encantada de San Diego (aún se desconoce su profundidad)
Dìa Internacional del Café
¿Por qué se celebra el 1 de octubre? A partir de 2015, la ICO (Organización Internacional del Café, por sus siglas en inglés) estableció esa fecha y desde entonces se celebra con el objetivo de rendir homenaje a las personas que participan en las diferentes etapas que tiene el proceso de la elaboración del café, como la recolección, el lavado, el secado, la clasificación, el tueste, la cata y el disfrute.II Convocatoria 2020 para el otorgamiento de apoyo de alimentación temporal Bienestar al Aprendiz
Edicto 10
Adjudicación Apoyo a Sostenimiento
Se hace pública la Resolución 17-00696 del 14 de septiembre de 2020 en la cual se relacionan VEINTE (20) aprendices los cuales fueron seleccionados por el comité de calificación y priorización escogido por nuestro Subdirector Carlos Alberto Ospina Rivera para ser beneficiarios cumpliendo los lineamientos establecidos en la Guía de apoyos de sostenimiento GFPI- G-007.
Para este ejercicio se comprometieron mediante la Resolución 17-00696 TREINTA MILLONES SETECIENTOS VEINTITRES MIL SESENTA PESOS M/C (30.723.060), con los cuales se ejecutará el pago de este beneficio desde el mes de septiembre hasta el 30 de diciembre de 2020; fecha en la cual se da por terminado este apoyo de sostenimiento.
Cupos Jóvenes en Acción 2020A continuación compartimos información del departamento de prosperidad social, sobre convocatoria jóvenes en acción.
Horarios de atención para la preinscripción es:
Lunes a Viernes de 8:00 a.m a 1:00 p.m.
Curiosidades sobre el café
Listado de posibles Beneficiarios 1a. Convocatoria Apoyos de Sostenimiento Regular 2020
Dando cumplimiento al cronograma de apoyos de sostenimiento regular 2020 enviado desde Dirección General, hago público el resultado de priorización y la verificación de requisitos mínimos de cada uno de los CUARENTA Y SIETE (47) aprendices que se inscribieron mediante el link, ejercicio realizado por el comité de calificación y priorización designado por el Subdirector de nuestro Centro de Formación Carlos Alberto Ospina Rivera. Dando como resultado que:
Nueve (9) aprendices no enviaron la documentación necesaria para realizar el ejercicio de calificación y priorización.
Diecisiete (17) aprendices no cumplieron con los requisitos mínimos para quedar en la lista de elegibles.
Veintiún (21) aprendices cumplieron con todos los requisitos mínimos, por lo tanto, fueron priorizados y registrados en lista de elegibles.
Se presento empate entre SEIS (6) aprendices que contaban con el mismo puntaje de priorización (0), se dio cumplimiento a lo establecido en la guía de apoyos de sostenimiento GFPI-P-007 y se realizó el proceso de desempate entre el comité de calificación y de priorización y los representantes de los aprendices del Centro para la Formación Cafetera y de entre los SEIS (6) se escogieron CINCO (5) aprendices que entran a formar parte de los posibles beneficiarios de apoyos de sostenimiento regular 2020.
Nota: toda la información y resultados nombrados anteriormente se anexan a este correo, asegurando así la transparencia del proceso de selección.
Teniendo en cuenta lo anterior se informa que los VEINTE (20) aprendices y posibles beneficiarios a apoyos de sostenimiento regular 2020 son:
Convocatoria para Contrato de Aprendices
Información póliza de Accidentes
Oportunidad de Intercambio Jóvenes Embajadores 

Código de Integridad del Sena
Estimados investigadores, reciban un cordial saludo.
Teniendo en cuenta el proceso surtido mediante el ACTA 002C de 30 de julio de 2020, los siguientes aprendices han sido favorecidos como monitores SENNOVA 2020, mediante la RESOLUCIÓN 17-00520 del 11 de agosto de 2020, distribuidos en los siguientes proyectos:
Por tal motivo, solicito a ustedes contactarse lo más pronto posible con estos aprendices, para concertar las actividades que deben realizar durante el tiempo de vinculación estipulado de la anterior manera.
Primer Puesto Concurso de Antifaces de Halloween Formación Virtual
Lindsay Ingrith Araque Balaguera Tecnología en Negociación Internacional Felicitaciones 👏
Evento Día de Halloween Formación Presencial
Premiación Concurso de Antifaces Formación Virtual
Notificación de Adjudicación de Apoyo de Sostenimiento III Convocatoria
Reporte de calificación y priorización de los aprendices inscritos a la III convocatoria de apoyo de sostenimiento Regular
Del 7 al 13 de septiembre se dará inicio a la etapa de Calificación y Priorización de los aprendices a través de SOFIA PLUS.
Entérate
Conoce la Oferta Educativa que el Sena tiene para tí ¡Inscríbete!
#EstudiaEnElSENA, inscripciones hasta el 5 de agosto a través de www.senasofiaplus.edu.co 🟢Conoce en este enlace toda la oferta en Caldas👉https://bit.ly/3febXQ7
CONVOCATORIA MONITORIAS SENNOVA
El Centro para la Formación Cafetera abre la Convocatoria para vincular dos (2) aprendices mediante monitorias con SENNOVA como apoyo a los proyectos: “Desarrollo de Bioproductos (biocarbón, pectina, jabón) a partir de cáscaras de Mazorca de Cacao (Theobroma cacao) generadas como desecho de la transformación agroindustrial” y “Obtención de cafés diferenciados mediante la optimización de procesos fermentativos y de secado del grano”.
Requisitos:
- Estar matriculado en los programas de Formación Titulada de nivel Tecnólogo, afines a los proyectos: “Desarrollo de Bioproductos (biocarbón, pectina, jabón) a partir de cáscaras de Mazorca de Cacao (Theobroma cacao) generadas como desecho de la transformación agroindustrial” y “Obtención de cafés diferenciados mediante la optimización de procesos fermentativos y de secado del grano”.
- Vinculación activa a un semillero de investigación del Centro para la Formación Cafetera.
- Tener disponibilidad de tiempo.
Inscripción:
- A través del enlace: https://forms.gle/vFHZEpaGbexjStP49
- Fecha límite de inscripción: 6 de agosto de 2021
Duración de las monitorias:
Del 1 de septiembre al 30 de noviembre de 2021
Sena Digital
La iniciativa que fortalecerá las habilidades digitales de los colombianos para multiplicar sus oportunidades laborales. entérate de más aquí 👇
Productos Disponible Punto de Venta Centro para la Formación Cafetera
¡El Ministerio de TIC llevará servicios de voz y datos móviles a estudiantes de instituciones oficiales!
Navega TIC es un proyecto que llevará servicios de voz y datos móviles a más de 310.0000 estudiantes de colegios oficiales de los grados 9, 10 y 11, de universidades públicas y del SENA, ubicados en 790 municipios de los 32 departamentos del país. Beneficios del plan: • 15 GB de navegación con tecnología 4G LTE • Minutos ilimitados a nivel nacional • WhatsApp ilimitado sin videollamadas • Acceso a 21 URL o páginas que no consumen datos • Vigencia: hasta el 31 de julio de 2022 Para participar los aspirantes deberán cumplir con los siguientes requisitos • Ser estudiante de los grados 9, 10 y 11 de una Institución Educativa Publica; estudiante de Universidad Pública o SENA (para estos dos últimos grupos, al estudiante le deberán restar, como mínimo, trece (13) meses para finalizar el programa al que están matriculados) que pertenezcan a alguno de los 776 municipios del listado adjunto. • Pertenecer a estratos 1 y 2: El beneficiario deberá acreditar que pertenece a estratos 1 o 2. La verificación de este requisito de elegibilidad para los posibles beneficiarios del proyecto serán acreditada con copia de un recibo de servicios públicos, tratándose de estratos 1 o 2, o en su defecto se aceptará una constancia de la autoridad territorial en la que se indique que el predio del usuario se ubica en estrato 1 o 2. • Tener un dispositivo móvil con capacidad para navegar en internet 4G LTE. (El operador adjudicatario verificará las bandas y frecuencias del dispositivo móvil con el que cuenta el posible beneficiario, para garantizar la funcionalidad del dispositivo en su red) • No contar con un servicio de internet fijo ni móvil, postpago.
Si crees que cumples con esos requisitos y quieres hacer parte de la base de datos de potenciales beneficiarios del proyecto, te invitamos a diligenciar el siguiente formulario que estará habilitado hasta el 30 de julio de 2021:
NOTA UNO: Si el beneficiario es un menor de edad, el formulario deberá ser completado por su padre, acudiente o representante legal. En todo caso, al momento de la entrega del beneficio, se deberá adjuntar copia de documento de identidad del beneficiario y, en caso de ser menor de edad, copia del documento de identidad del padre, acudiente o representante legal y, documento de identidad del menor y su registro civil.
NOTA DOS: La verificación de los requisitos de elegibilidad para ser beneficiario del proyecto será realizada por el operador en campo al momento de validar los datos registrados en el formulario y posteriormente al hacer la entrega.
Feliz Día del Hombre
Convocatoria contrato de aprendizaje Día Internacional de la Mujer
Audiencia Pública de Rendición de Cuentas
Convocatoria Programas de Formación 2021
Aprendices en Etapa Práctica podrán Regresar al Centro a partir del 16 de noviembreConvocatoria Contrato de aprendizaje
Primer puesto concurso de Fotografíaaprendiz perteneciente al grupo de formación Tecnólogo en Negociación Internacional Primer Puesto Concurso de Fotografía
VentaneanDog: Fotografía capturada en el municipio de Riosucio-Caldas. Este perrito es la mascota de una señora de avanzada edad. Cuando la señora sale a comprar cualquier cosita a la tienda, su mascota está siempre alerta, demostrando que estos animalitos se preocupan mucho por nuestro bienestar.
Segundo Puesto Concurso de Fotografía
Profundidad.
La amplitud de la vida, tan efímera ante aquellos que disfrutan cada día sin cohibirse de nada o tan extensa para quienes ven solo rutina y desgaste sin ningún propósito más que envejecer o en su defecto morir. El arte de admirar el azul del cielo o el verde de los árboles lo poseen seres sensibles, libres, con espíritus aventureros y con almas nobles. Por ello, se debe intentar ver más allá de lo obvio, usando la imaginación como aliada para lo que no es visible. Pretendo mostrar lo bonito de la vida mediante una variedad de colores que invitan a disfrutar plenamente cada instante en la tierra, esta tierra llena de cultura y paisajes hermosos, donde el balance entre la naturaleza y el hombre se hace totalmente posible.
Laguna encantada de San Diego (aún se desconoce su profundidad)
Dìa Internacional del Café
¿Por qué se celebra el 1 de octubre? A partir de 2015, la ICO (Organización Internacional del Café, por sus siglas en inglés) estableció esa fecha y desde entonces se celebra con el objetivo de rendir homenaje a las personas que participan en las diferentes etapas que tiene el proceso de la elaboración del café, como la recolección, el lavado, el secado, la clasificación, el tueste, la cata y el disfrute.II Convocatoria 2020 para el otorgamiento de apoyo de alimentación temporal Bienestar al Aprendiz
Edicto 10
Primer Puesto Concurso de Antifaces de Halloween Formación Virtual
Lindsay Ingrith Araque Balaguera Tecnología en Negociación Internacional Felicitaciones 👏
Evento Día de Halloween Formación Presencial
Premiación Concurso de Antifaces Formación Virtual
Notificación de Adjudicación de Apoyo de Sostenimiento III Convocatoria
Reporte de calificación y priorización de los aprendices inscritos a la III convocatoria de apoyo de sostenimiento Regular
Del 7 al 13 de septiembre se dará inicio a la etapa de Calificación y Priorización de los aprendices a través de SOFIA PLUS.
Entérate
Conoce la Oferta Educativa que el Sena tiene para tí ¡Inscríbete!
#EstudiaEnElSENA, inscripciones hasta el 5 de agosto a través de www.senasofiaplus.edu.co 🟢Conoce en este enlace toda la oferta en Caldas👉https://bit.ly/3febXQ7
CONVOCATORIA MONITORIAS SENNOVA
El Centro para la Formación Cafetera abre la Convocatoria para vincular dos (2) aprendices mediante monitorias con SENNOVA como apoyo a los proyectos: “Desarrollo de Bioproductos (biocarbón, pectina, jabón) a partir de cáscaras de Mazorca de Cacao (Theobroma cacao) generadas como desecho de la transformación agroindustrial” y “Obtención de cafés diferenciados mediante la optimización de procesos fermentativos y de secado del grano”.
Requisitos:
- Estar matriculado en los programas de Formación Titulada de nivel Tecnólogo, afines a los proyectos: “Desarrollo de Bioproductos (biocarbón, pectina, jabón) a partir de cáscaras de Mazorca de Cacao (Theobroma cacao) generadas como desecho de la transformación agroindustrial” y “Obtención de cafés diferenciados mediante la optimización de procesos fermentativos y de secado del grano”.
- Vinculación activa a un semillero de investigación del Centro para la Formación Cafetera.
- Tener disponibilidad de tiempo.
Inscripción:
- A través del enlace: https://forms.gle/vFHZEpaGbexjStP49
- Fecha límite de inscripción: 6 de agosto de 2021
Duración de las monitorias:
Del 1 de septiembre al 30 de noviembre de 2021
Sena Digital
La iniciativa que fortalecerá las habilidades digitales de los colombianos para multiplicar sus oportunidades laborales. entérate de más aquí 👇
Productos Disponible Punto de Venta Centro para la Formación Cafetera
¡El Ministerio de TIC llevará servicios de voz y datos móviles a estudiantes de instituciones oficiales!
Navega TIC es un proyecto que llevará servicios de voz y datos móviles a más de 310.0000 estudiantes de colegios oficiales de los grados 9, 10 y 11, de universidades públicas y del SENA, ubicados en 790 municipios de los 32 departamentos del país. Beneficios del plan: • 15 GB de navegación con tecnología 4G LTE • Minutos ilimitados a nivel nacional • WhatsApp ilimitado sin videollamadas • Acceso a 21 URL o páginas que no consumen datos • Vigencia: hasta el 31 de julio de 2022 Para participar los aspirantes deberán cumplir con los siguientes requisitos • Ser estudiante de los grados 9, 10 y 11 de una Institución Educativa Publica; estudiante de Universidad Pública o SENA (para estos dos últimos grupos, al estudiante le deberán restar, como mínimo, trece (13) meses para finalizar el programa al que están matriculados) que pertenezcan a alguno de los 776 municipios del listado adjunto. • Pertenecer a estratos 1 y 2: El beneficiario deberá acreditar que pertenece a estratos 1 o 2. La verificación de este requisito de elegibilidad para los posibles beneficiarios del proyecto serán acreditada con copia de un recibo de servicios públicos, tratándose de estratos 1 o 2, o en su defecto se aceptará una constancia de la autoridad territorial en la que se indique que el predio del usuario se ubica en estrato 1 o 2. • Tener un dispositivo móvil con capacidad para navegar en internet 4G LTE. (El operador adjudicatario verificará las bandas y frecuencias del dispositivo móvil con el que cuenta el posible beneficiario, para garantizar la funcionalidad del dispositivo en su red) • No contar con un servicio de internet fijo ni móvil, postpago.
Si crees que cumples con esos requisitos y quieres hacer parte de la base de datos de potenciales beneficiarios del proyecto, te invitamos a diligenciar el siguiente formulario que estará habilitado hasta el 30 de julio de 2021:
NOTA UNO: Si el beneficiario es un menor de edad, el formulario deberá ser completado por su padre, acudiente o representante legal. En todo caso, al momento de la entrega del beneficio, se deberá adjuntar copia de documento de identidad del beneficiario y, en caso de ser menor de edad, copia del documento de identidad del padre, acudiente o representante legal y, documento de identidad del menor y su registro civil.
NOTA DOS: La verificación de los requisitos de elegibilidad para ser beneficiario del proyecto será realizada por el operador en campo al momento de validar los datos registrados en el formulario y posteriormente al hacer la entrega.
Feliz Día del Hombre
Convocatoria contrato de aprendizaje Día Internacional de la Mujer
Audiencia Pública de Rendición de Cuentas
Convocatoria Programas de Formación 2021
Aprendices en Etapa Práctica podrán Regresar al Centro a partir del 16 de noviembreConvocatoria Contrato de aprendizaje
Primer puesto concurso de Fotografíaaprendiz perteneciente al grupo de formación Tecnólogo en Negociación Internacional Primer Puesto Concurso de Fotografía
VentaneanDog: Fotografía capturada en el municipio de Riosucio-Caldas. Este perrito es la mascota de una señora de avanzada edad. Cuando la señora sale a comprar cualquier cosita a la tienda, su mascota está siempre alerta, demostrando que estos animalitos se preocupan mucho por nuestro bienestar.
Segundo Puesto Concurso de Fotografía
Profundidad.
La amplitud de la vida, tan efímera ante aquellos que disfrutan cada día sin cohibirse de nada o tan extensa para quienes ven solo rutina y desgaste sin ningún propósito más que envejecer o en su defecto morir. El arte de admirar el azul del cielo o el verde de los árboles lo poseen seres sensibles, libres, con espíritus aventureros y con almas nobles. Por ello, se debe intentar ver más allá de lo obvio, usando la imaginación como aliada para lo que no es visible. Pretendo mostrar lo bonito de la vida mediante una variedad de colores que invitan a disfrutar plenamente cada instante en la tierra, esta tierra llena de cultura y paisajes hermosos, donde el balance entre la naturaleza y el hombre se hace totalmente posible.
Laguna encantada de San Diego (aún se desconoce su profundidad)
Dìa Internacional del Café
¿Por qué se celebra el 1 de octubre? A partir de 2015, la ICO (Organización Internacional del Café, por sus siglas en inglés) estableció esa fecha y desde entonces se celebra con el objetivo de rendir homenaje a las personas que participan en las diferentes etapas que tiene el proceso de la elaboración del café, como la recolección, el lavado, el secado, la clasificación, el tueste, la cata y el disfrute.II Convocatoria 2020 para el otorgamiento de apoyo de alimentación temporal Bienestar al Aprendiz
Primer Puesto Concurso de Antifaces de Halloween Formación Virtual
Lindsay Ingrith Araque Balaguera Tecnología en Negociación Internacional Felicitaciones 👏
Evento Día de Halloween Formación Presencial
Premiación Concurso de Antifaces Formación Virtual
Notificación de Adjudicación de Apoyo de Sostenimiento III Convocatoria
Reporte de calificación y priorización de los aprendices inscritos a la III convocatoria de apoyo de sostenimiento Regular
Del 7 al 13 de septiembre se dará inicio a la etapa de Calificación y Priorización de los aprendices a través de SOFIA PLUS.
Entérate
Conoce la Oferta Educativa que el Sena tiene para tí ¡Inscríbete!
#EstudiaEnElSENA, inscripciones hasta el 5 de agosto a través de www.senasofiaplus.edu.co 🟢Conoce en este enlace toda la oferta en Caldas👉https://bit.ly/3febXQ7
CONVOCATORIA MONITORIAS SENNOVA
El Centro para la Formación Cafetera abre la Convocatoria para vincular dos (2) aprendices mediante monitorias con SENNOVA como apoyo a los proyectos: “Desarrollo de Bioproductos (biocarbón, pectina, jabón) a partir de cáscaras de Mazorca de Cacao (Theobroma cacao) generadas como desecho de la transformación agroindustrial” y “Obtención de cafés diferenciados mediante la optimización de procesos fermentativos y de secado del grano”.
Requisitos:
- Estar matriculado en los programas de Formación Titulada de nivel Tecnólogo, afines a los proyectos: “Desarrollo de Bioproductos (biocarbón, pectina, jabón) a partir de cáscaras de Mazorca de Cacao (Theobroma cacao) generadas como desecho de la transformación agroindustrial” y “Obtención de cafés diferenciados mediante la optimización de procesos fermentativos y de secado del grano”.
- Vinculación activa a un semillero de investigación del Centro para la Formación Cafetera.
- Tener disponibilidad de tiempo.
Inscripción:
- A través del enlace: https://forms.gle/vFHZEpaGbexjStP49
- Fecha límite de inscripción: 6 de agosto de 2021
Duración de las monitorias:
Del 1 de septiembre al 30 de noviembre de 2021
Sena Digital
La iniciativa que fortalecerá las habilidades digitales de los colombianos para multiplicar sus oportunidades laborales. entérate de más aquí 👇
Productos Disponible Punto de Venta Centro para la Formación Cafetera
¡El Ministerio de TIC llevará servicios de voz y datos móviles a estudiantes de instituciones oficiales!
Navega TIC es un proyecto que llevará servicios de voz y datos móviles a más de 310.0000 estudiantes de colegios oficiales de los grados 9, 10 y 11, de universidades públicas y del SENA, ubicados en 790 municipios de los 32 departamentos del país. Beneficios del plan: • 15 GB de navegación con tecnología 4G LTE • Minutos ilimitados a nivel nacional • WhatsApp ilimitado sin videollamadas • Acceso a 21 URL o páginas que no consumen datos • Vigencia: hasta el 31 de julio de 2022 Para participar los aspirantes deberán cumplir con los siguientes requisitos • Ser estudiante de los grados 9, 10 y 11 de una Institución Educativa Publica; estudiante de Universidad Pública o SENA (para estos dos últimos grupos, al estudiante le deberán restar, como mínimo, trece (13) meses para finalizar el programa al que están matriculados) que pertenezcan a alguno de los 776 municipios del listado adjunto. • Pertenecer a estratos 1 y 2: El beneficiario deberá acreditar que pertenece a estratos 1 o 2. La verificación de este requisito de elegibilidad para los posibles beneficiarios del proyecto serán acreditada con copia de un recibo de servicios públicos, tratándose de estratos 1 o 2, o en su defecto se aceptará una constancia de la autoridad territorial en la que se indique que el predio del usuario se ubica en estrato 1 o 2. • Tener un dispositivo móvil con capacidad para navegar en internet 4G LTE. (El operador adjudicatario verificará las bandas y frecuencias del dispositivo móvil con el que cuenta el posible beneficiario, para garantizar la funcionalidad del dispositivo en su red) • No contar con un servicio de internet fijo ni móvil, postpago.
Si crees que cumples con esos requisitos y quieres hacer parte de la base de datos de potenciales beneficiarios del proyecto, te invitamos a diligenciar el siguiente formulario que estará habilitado hasta el 30 de julio de 2021:
NOTA UNO: Si el beneficiario es un menor de edad, el formulario deberá ser completado por su padre, acudiente o representante legal. En todo caso, al momento de la entrega del beneficio, se deberá adjuntar copia de documento de identidad del beneficiario y, en caso de ser menor de edad, copia del documento de identidad del padre, acudiente o representante legal y, documento de identidad del menor y su registro civil.
NOTA DOS: La verificación de los requisitos de elegibilidad para ser beneficiario del proyecto será realizada por el operador en campo al momento de validar los datos registrados en el formulario y posteriormente al hacer la entrega.
Feliz Día del Hombre
Convocatoria contrato de aprendizaje Día Internacional de la Mujer
Audiencia Pública de Rendición de Cuentas
Convocatoria Programas de Formación 2021
Aprendices en Etapa Práctica podrán Regresar al Centro a partir del 16 de noviembreConvocatoria Contrato de aprendizaje
Primer puesto concurso de Fotografíaaprendiz perteneciente al grupo de formación Tecnólogo en Negociación Internacional Primer Puesto Concurso de Fotografía
VentaneanDog: Fotografía capturada en el municipio de Riosucio-Caldas. Este perrito es la mascota de una señora de avanzada edad. Cuando la señora sale a comprar cualquier cosita a la tienda, su mascota está siempre alerta, demostrando que estos animalitos se preocupan mucho por nuestro bienestar.
Evento Día de Halloween Formación Presencial
Premiación Concurso de Antifaces Formación Virtual
Notificación de Adjudicación de Apoyo de Sostenimiento III Convocatoria
Reporte de calificación y priorización de los aprendices inscritos a la III convocatoria de apoyo de sostenimiento Regular
Del 7 al 13 de septiembre se dará inicio a la etapa de Calificación y Priorización de los aprendices a través de SOFIA PLUS.
Entérate
Conoce la Oferta Educativa que el Sena tiene para tí ¡Inscríbete!
#EstudiaEnElSENA, inscripciones hasta el 5 de agosto a través de www.senasofiaplus.edu.co 🟢Conoce en este enlace toda la oferta en Caldas👉https://bit.ly/3febXQ7
CONVOCATORIA MONITORIAS SENNOVA
El Centro para la Formación Cafetera abre la Convocatoria para vincular dos (2) aprendices mediante monitorias con SENNOVA como apoyo a los proyectos: “Desarrollo de Bioproductos (biocarbón, pectina, jabón) a partir de cáscaras de Mazorca de Cacao (Theobroma cacao) generadas como desecho de la transformación agroindustrial” y “Obtención de cafés diferenciados mediante la optimización de procesos fermentativos y de secado del grano”.
Requisitos:
- Estar matriculado en los programas de Formación Titulada de nivel Tecnólogo, afines a los proyectos: “Desarrollo de Bioproductos (biocarbón, pectina, jabón) a partir de cáscaras de Mazorca de Cacao (Theobroma cacao) generadas como desecho de la transformación agroindustrial” y “Obtención de cafés diferenciados mediante la optimización de procesos fermentativos y de secado del grano”.
- Vinculación activa a un semillero de investigación del Centro para la Formación Cafetera.
- Tener disponibilidad de tiempo.
Inscripción:
- A través del enlace: https://forms.gle/vFHZEpaGbexjStP49
- Fecha límite de inscripción: 6 de agosto de 2021
Duración de las monitorias:
Del 1 de septiembre al 30 de noviembre de 2021
Sena Digital
La iniciativa que fortalecerá las habilidades digitales de los colombianos para multiplicar sus oportunidades laborales. entérate de más aquí 👇
Profundidad.
La amplitud de la vida, tan efímera ante aquellos que disfrutan cada día sin cohibirse de nada o tan extensa para quienes ven solo rutina y desgaste sin ningún propósito más que envejecer o en su defecto morir. El arte de admirar el azul del cielo o el verde de los árboles lo poseen seres sensibles, libres, con espíritus aventureros y con almas nobles. Por ello, se debe intentar ver más allá de lo obvio, usando la imaginación como aliada para lo que no es visible. Pretendo mostrar lo bonito de la vida mediante una variedad de colores que invitan a disfrutar plenamente cada instante en la tierra, esta tierra llena de cultura y paisajes hermosos, donde el balance entre la naturaleza y el hombre se hace totalmente posible.
Laguna encantada de San Diego (aún se desconoce su profundidad)
Dìa Internacional del Café
II Convocatoria 2020 para el otorgamiento de apoyo de alimentación temporal Bienestar al Aprendiz
Adjudicación Apoyo a Sostenimiento
Cupos Jóvenes en Acción 2020
Horarios de atención para la preinscripción es:
Lunes a Viernes de 8:00 a.m a 1:00 p.m.
Listado de posibles Beneficiarios 1a. Convocatoria Apoyos de Sostenimiento Regular 2020
Dando cumplimiento al cronograma de apoyos de sostenimiento regular 2020 enviado desde Dirección General, hago público el resultado de priorización y la verificación de requisitos mínimos de cada uno de los CUARENTA Y SIETE (47) aprendices que se inscribieron mediante el link, ejercicio realizado por el comité de calificación y priorización designado por el Subdirector de nuestro Centro de Formación Carlos Alberto Ospina Rivera. Dando como resultado que:
Nueve (9) aprendices no enviaron la documentación necesaria para realizar el ejercicio de calificación y priorización.
Diecisiete (17) aprendices no cumplieron con los requisitos mínimos para quedar en la lista de elegibles.
Veintiún (21) aprendices cumplieron con todos los requisitos mínimos, por lo tanto, fueron priorizados y registrados en lista de elegibles.
Se presento empate entre SEIS (6) aprendices que contaban con el mismo puntaje de priorización (0), se dio cumplimiento a lo establecido en la guía de apoyos de sostenimiento GFPI-P-007 y se realizó el proceso de desempate entre el comité de calificación y de priorización y los representantes de los aprendices del Centro para la Formación Cafetera y de entre los SEIS (6) se escogieron CINCO (5) aprendices que entran a formar parte de los posibles beneficiarios de apoyos de sostenimiento regular 2020.
Nota: toda la información y resultados nombrados anteriormente se anexan a este correo, asegurando así la transparencia del proceso de selección.
Teniendo en cuenta lo anterior se informa que los VEINTE (20) aprendices y posibles beneficiarios a apoyos de sostenimiento regular 2020 son:



Para tal fin, se envía el Formato para el registro de las horas de los monitores SENNOVA, con el fin de registrar las actividades realizadas a partir de la fecha de emisión de la Resolución mencionada, así como levantar acta mensual de seguimiento a las actividades allí consignadas, toda vez que se debe surtir este proceso para poderles pagar desde la vigencia del mes actual agosto de 2020.
Ampliación registro sofia plus para apoyo a sostenimiento
Dando cumplimiento al cronograma y lineamientos enviados desde Dirección General, me permito hacer publica la siguiente información:
"El Centro para la Formación Cafetera se permite informar a la comunidad educativa que de acuerdo con la comunicación remitida el día 18 de Agosto de 2020 a las 5:09 p.m. por el Doctor Farid de Jesus Figueroa Torres Director de Formación, aclaran que dada la contingencia presentada en día 17 de agosto en el aplicativo Sofia Plus que no permitió la inscripción de los aprendices a la convocatoria I-2020 de apoyos de sostenimiento regular, se amplió hasta el 19 de agosto hasta las 11:59 p.m. la inscripción y la entrega de documentación soporte por parte de los aprendices a través de Sofia Plus.
Así mismo aclaro la comunicación que lo anterior no modifica o afecta el cronograma de la convocatoria 01-2020 dispuesto en el anexo 1 de la circular No: 01-3-2020-000133 del pasado 24 de julio, así las cosas, las demás fechas se mantienen igual.”
Información para Tener en Cuenta
1° Convocatoria 2020 de Apoyos a Sostenimiento Regular Sena Caldas CFC
Conmemoración 20 de Julio día en el cual Colombia celebra su independencia
Recomendaciones para Realizar Su Formación Virtual
TRABAJOS QUE LOGRARON ALCANZAR EL PRIMER PUESTO EN EL CONCURSO DE HABILIDADES CULTURALES
Dibujo:
Aprendiz Esto Te Interesa
Información relacionada con el proceso de los bonos de alimentación
La Dirección Nacional realizó la primera Resolución Parcial con 76 aprendices que realizaron la entrega de los certificados bancarios, al momento se encuentra pendiente en contabilidad y/o tesorería para pago.
Hasta hoy, 20 aprendices más han remitido la certificación bancaria con ellos se va a realizar la segunda Resolución de pago, la cual está en trámite.
Feliz día Papá
Realiza tu pre-registro a Jóvenes en Acción sin Salir de Casa
Acto de Posesión Representante de los Aprendices y Representante suplente
Herbert Camilo Lemus Cardona
"Trabajaremos por el bienestar de los aprendices del C.F.C con la ayuda del equipo de bienestar al aprendiz y la parte administrativa"Representante Suplente:
Mayra Alejandra Guarín Nieto
maguarin2@misena.edu.co
Contacto:
319 2315994
Listado Oficial de Aprendices Adjudicados como Beneficiarios de la Convocatoria Numero 1 de Apoyo a Alimentación En el Centro para la Formación Cafetera
Feliz Día Mamá
"Gracias por estar siempre que te necesitamos,por tu paciencia infinita y por tú amor incindicional"
Curiosidades que enmarcan la riqueza de nuestra lengua :
- · Es el idioma oficial de varios países en los cinco continentes.
- · Es un idioma que supera las 88.000 palabras, y tiene expresiones únicas y extrañas que modifican su significado de acuerdo al contexto.
- · Las letras E, A, O, L, S, son las más usadas por los hispanohablantes. Mientras que la W es la que menos aparece en el día a día.
- · El primer escrito en este idioma está cerca de cumplir un milenio, y contiene un listado de víveres que esbozan los primeros garabatos que serán las letras del alfabeto.
Requisitos y Condiciones para ser Beneficiario de Apoyo de Alimentación
Si cumples con todos los requerimientos, inscríbete en el siguiente enlace y contesta con sinceridad cada una de las preguntas, serán verificadas en el sistema.
Así mismo les agradecemos a los aprendices que hoy tienen suplidas sus necesidades nutricionales abstenerse de postularse, es un momento en el que se requiere de la solidaridad y el apoyo de todos, además que las ayudas lleguen a quienes realmente lo necesitan.
El plazo de inscripción es entre el martes 21 de abril y el viernes 24 de abril de 2020 . Postulaciones que lleguen en otras fechas no serán tenidas en cuenta.
Tenga en cuenta que debe además de diligenciar el enlace abajo copiado, debe remitir los documentos soporte al siguiente correo electrónico bienestaraprendicescfc2020@ gmail.com
Enlace adjunto.
Convocatoria No 1 apoyo alimentación aprendices CFC 2020
Atendiendo lo establecido en la circular No 1-6060 del 14 de abril de 2020, nos permitimos remitir los términos de la presente convocatoria.

.jpeg)
.jpeg)
.jpeg)
.jpeg)

.jpg)




.jpeg)























.jpeg)
.jpeg)

.jpeg)





.jpeg)




.jpeg)
.jpeg)


.jpeg)


.jpeg)


.jpeg)



.jpeg)
.jpeg)
.jpeg)




.jpeg)















.jpeg)
.jpeg)


.jpeg)
.jpeg)
.jpeg)

.jpeg)


.jpeg)
.jpeg)


.jpeg)

.jpeg)



.jpeg)



.jpeg)
.jpeg)



.jpeg)
.jpeg)

.jpeg)
.jpg)
.jpeg)











.jpeg)
.jpeg)

.jpeg)















_page-0001%20(1).jpg)




.jpeg)
.jpeg)



.jpeg)
.jpeg)












































_page-0001.jpg)
_page-0002.jpg)
_page-0003.jpg)
_page-0004.jpg)
.jpg)

























































































_page-0001.jpg)
_page-0002.jpg)
_page-0003.jpg)
_page-0004.jpg)




































































.png)












-page-0001.jpg)
-page-0002.jpg)
-page-0003.jpg)
-page-0004.jpg)
-page-0005.jpg)
_page-0001.jpg)
_page-0003.jpg)
_page-0004.jpg)
_page-0005.jpg)
_page-0006.jpg)
_page-0002.jpg)













.jpg)




.jpg)



























































































































-page-0002.jpg)
-page-0003.jpg)

No hay comentarios:
Publicar un comentario